zotyÖÐÅ·ÌåÓý

English zotyÖÐÅ·ÌåÓý¼¯ÍÅÆóÒµÓÊÏä

µÚ¶þ½Ú Ïà¹ØÏµÊýµÄÅÌËã

×÷ÕߣºÐìÈÙÏé ³öÊéÉ磺Öйú¿ÆÑ§ÊÖÒÕ³öÊéÉç ¿¯ÐÐÈÕÆÚ£º2009Äê7ÔÂ

Ò»¡¢Ð¡Ñù±¾ÅÌËã·¨
ʾÀý3ª²9ª²1²âµÃ8ÀýÉÕÉ˲¡È˵ÄѪ½¬°×ÂѰ×Ó뽺ÌåÉøÍ¸Ñ¹ÊýÖµ£¨±í3ª²9ª²1£©£¬£¬£¬ £¬£¬£¬£¬£¬È·¶¨ËüÃÇÖ®¼äÊÇ·ñ±£´æÖ±Ïß¹ØÏµ£¿£¿£¿£¿£¿£¿£¿

¡¾½âÌâ°ì·¨¡¿
1ª±Æ¾Ö¤±í3ª²9ª²1ÖеÄÊý×Ö£¬£¬£¬ £¬£¬£¬£¬£¬ÒÔºá×ø±êÌåÏÖѪ½¬°×ÂѰ×(x)£¬£¬£¬ £¬£¬£¬£¬£¬×Ý×ø±êÌåÏÖÉøÍ¸Ñ¹£¨y£©£¬£¬£¬ £¬£¬£¬£¬£¬»æ³ÉÉ¢µãͼ£¨Ê¾Í¼3ª²9ª²1£© ¡£¡£¡£ ¡£¡£¡£¡£´ÓËù»æÖƵÄͼÖпÉÒÔ¿´³ö£¬£¬£¬ £¬£¬£¬£¬£¬ÕâЩµã×Ó»ù±¾³ÊÖ±ÏßÇ÷ÊÆ ¡£¡£¡£ ¡£¡£¡£¡£


2ª±ÁÐÏà¹ØÏµÊýÅÌËã±í£¨±í3ª²9ª²2£©

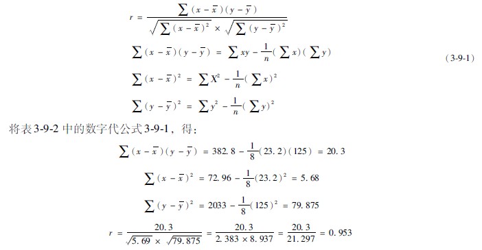
3ª±ÅÌËãrÖµ£ºÆ¾Ö¤ÒÔϹ«Ê½ÅÌËãrÖµ ¡£¡£¡£ ¡£¡£¡£¡£

4ª±½áÂÛ£ºrΪ0ª±953£¬£¬£¬ £¬£¬£¬£¬£¬ÌåÏÖѪ½¬½ºÌåÉøÍ¸Ñ¹ËæÑª½¬°×ÂѰ×Ũ¶ÈµÄÔöÌí¶øÉÏÉý ¡£¡£¡£ ¡£¡£¡£¡£
¶þ¡¢´óÑùÌìÖ°×é×ÊÁÏÅÌËã·¨
ÓÉÓÚ´óÑù±¾µÄԭʼ×ÊÁϽ϶࣬£¬£¬ £¬£¬£¬£¬£¬Ó¦ÏÈÌåÀýÏà¹ØµÄƵÊý±í£¬£¬£¬ £¬£¬£¬£¬£¬ÔÙÓüò½Ý·¨ÅÌËã¾ùÊý£¨x£© ¡£¡£¡£ ¡£¡£¡£¡£Ïà¹ØÆµÊýÖÆ±íÒªÁìÓëµ¥±äÁ¿ÆµÊý±íÏàËÆ£¬£¬£¬ £¬£¬£¬£¬£¬Ëù²î±ðµÄÊǵ¥±äÁ¿ÆµÊý±íÖ»°´Ò»ÖÖ±äÁ¿x·Ö×飬£¬£¬ £¬£¬£¬£¬£¬¶øÏà¹ØÆµÊý±íÓÐÁ½¸ö±äÁ¿£¨x¡¢y£©£¬£¬£¬ £¬£¬£¬£¬£¬È¡Ò»¸ö±äÁ¿£¨x£©Îª×ݱêÄ¿£¬£¬£¬ £¬£¬£¬£¬£¬ÁíÒ»¸ö±äÁ¿£¨y£©Îªºá×ø±êÄ¿ ¡£¡£¡£ ¡£¡£¡£¡£×ݱêÄ¿ÓÉ×óµ½ÓÒ¡¢ÓÉСµ½´óдÔÚ±íµÄÉ϶ˣ»£»£»£»£»£»ºá±êÄ¿×ÔÉϵ½Ï¡¢ÓÉСµ½´óдÔÚ±íµÄ×ó²à ¡£¡£¡£ ¡£¡£¡£¡£È»ºó»®¼Ç£¬£¬£¬ £¬£¬£¬£¬£¬½Óÿ¶ÔÊý¾Ý¼ÇÔÚ×ݺá±êÄ¿Ïཻ´¦£¬£¬£¬ £¬£¬£¬£¬£¬ÅÌËã¸÷×é¶ÎµÄƵÊý£¬£¬£¬ £¬£¬£¬£¬£¬½«×ÝÐеÄ×ܼÆÐ´ÔÚÏÂÃæµÄfxºáÐÐÄÚ£¬£¬£¬ £¬£¬£¬£¬£¬½«ºáÐеÄ×ÜÆµÊýдÔÚfy×ÝÐÐÄÚ ¡£¡£¡£ ¡£¡£¡£¡£È»ºó²ÎÕÕ¼ÆÁ¿×ÊÁÏÖ¸±êµÄÐÎòÕÂ½ÚÆ½¾ùÊýµÄ¼ò½Ý·¨£¬£¬£¬ £¬£¬£¬£¬£¬»®·ÖÇóx¡¢yµÄ¼ò½ÝÖµ£¨x¡¢fx£©£¬£¬£¬ £¬£¬£¬£¬£¬¾ÙÐÐÔËËã ¡£¡£¡£ ¡£¡£¡£¡£

ʾÀý3ª²9ª²2ijҽÉúÕÉÁ¿ÁË40ÀýÔçÆÚ´óÃæ»ýÉÕÉ˲¡È˵ÄѪ½¬ð¤¶È£¨CP£©£¬£¬£¬ £¬£¬£¬£¬£¬ÊÓ²ìЧ¹û»ãÈë±í3ª²9ª²3ÖУ¬£¬£¬ £¬£¬£¬£¬£¬ÊÔÇóÉÕÉËÃæ»ýÓëѪ½¬ð¤¶ÈÖ®¼äÏà¹ØÏµÊý£¿£¿£¿£¿£¿£¿£¿

¡¾½âÌâ°ì·¨¡¿
£¨1£©×÷Ïà¹ØÅÌËã±í£¨±í3ª²9ª²3£©£ºÏȽ«×ÊÁϰ´ÉÕÉËÃæ»ý£¨ÊúÐУ©ºÍѪ½¬ð¤¶È£¨ºáÐУ©ÌîÈë±íÖУ¬£¬£¬ £¬£¬£¬£¬£¬ÔÙ½«ÊúÐÐÓëºáÐÐÏཻµÄ²¡ÀýÊý£¨ÆµÊý£©ÌîÈëÏìÓ¦Ö®½»Ö¯´¦ ¡£¡£¡£ ¡£¡£¡£¡£Èç“¡«40%”TBSA×é¶ÎѪ½¬ð¤¶ÈÔÚ“1ª±6¡«”¶Î´¦ÓÐ1Àý£¬£¬£¬ £¬£¬£¬£¬£¬¼´ÔÚ´Ë´¦Ìî1£¬£¬£¬ £¬£¬£¬£¬£¬Óà·Â´Ë ¡£¡£¡£ ¡£¡£¡£¡£
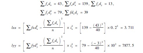
£¨2£©²ÎÕÕÆ½¾ùÊýÖµ¼°±ê×¼²îµÄ¼ò½Ý·¨£¬£¬£¬ £¬£¬£¬£¬£¬»®·ÖÇó³öx¼°yµÄdx¼ò»¯Öµ£¨dx¡¢dy£©¡¢∑fxdx¡¢∑fydy¡¢ ∑fxd2x¼°fyd2y£¬£¬£¬ £¬£¬£¬£¬£¬ÌîÈë±íµÄÏìӦλÖã¨×¢£º∑fx=∑fy£¬£¬£¬ £¬£¬£¬£¬£¬±¾Àý¾ùΪ40£© ¡£¡£¡£ ¡£¡£¡£¡£
£¨3£©±íÖÐ∑fdxµÄÅÌËãÒªÁ죺¸÷С¸ñµÄƵÊý£¨f£©³ËÏìÓ¦µÄdx£¬£¬£¬ £¬£¬£¬£¬£¬ÔÙ½«¸÷³Ë»ýÏà¼Ó ¡£¡£¡£ ¡£¡£¡£¡£ÈçyΪ“¡«70”¶ÎµÄÐÐÄÚ£¬£¬£¬ £¬£¬£¬£¬£¬∑fdx =4×0£«1×1£«1×2£«1×4=7£»£»£»£»£»£»y=“¡«90”¶ÎÐÐÄÚ£¬£¬£¬ £¬£¬£¬£¬£¬∑fdx=1×£¨-1£©£«2×0£«1×1£«3×2£«2×3£«1×4=16 ¡£¡£¡£ ¡£¡£¡£¡££¨×¢£º∑fdxµÄ×ܼÆÓ¦¼´ÊÇ∑fxdx £¬£¬£¬ £¬£¬£¬£¬£¬±¾Àý½ÔΪ43£© ¡£¡£¡£ ¡£¡£¡£¡£
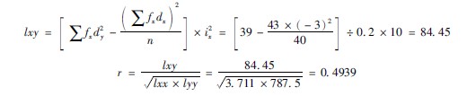
£¨4£©∑fdxdyµÄÅÌË㣺Ϊ¸÷ÐеÄ∑fdXÓëdyÏà³ËÖ®»ý ¡£¡£¡£ ¡£¡£¡£¡£
£¨5£©ÇórÖµ£ºÒò±¾ÀýΪ´óÑù±¾×ÊÁÏ£¬£¬£¬ £¬£¬£¬£¬£¬²»¿ÉÖ±½Ó´úÈëСÑù±¾r¹«Ê½£¬£¬£¬ £¬£¬£¬£¬£¬Ðè½ÓÄÉ·Ö×鹫ʽÅÌËãr£º
¢ÙÇóÀë¾ù²îƽ·½ºÍÓëÀë¾ù²î»ýºÍ£º
ÇóÀë¾ù²îƽ·½ºÍ£¨lxx£¬£¬£¬ £¬£¬£¬£¬£¬lyy£©£ºÀë¾ù²î»ýºÍ£¨lxy£©£»£»£»£»£»£»
±¾Àýn=40£¬£¬£¬ £¬£¬£¬£¬£¬x×é¾àix=0ª±2£¬£¬£¬ £¬£¬£¬£¬£¬y×é¾àiy=10£»£»£»£»£»£»


£¨5£©½áÂÛ£ºÒòrֵΪ0ª±494£¬£¬£¬ £¬£¬£¬£¬£¬ËµÃ÷ÉÕÉËÔçÆÚѪ½¬ð¤¶ÈËæÉÕÉËÃæ»ýµÄÔö´ó¶øÉÏÉý ¡£¡£¡£ ¡£¡£¡£¡£
Èý¡¢Ïà¹ØÏµÊýµÄÏÔÖøÐÔÄ¥Á·
ÉÏÊöÁ½ÀýµÄÏà¹ØÏµÊý¾ùÊÇÆ¾Ö¤Ñù±¾×ÊÁÏÅÌËã³öÀ´µÄ ¡£¡£¡£ ¡£¡£¡£¡£ºÍÆäËûͳ¼ÆÁ¿Ò»Ñù£¬£¬£¬ £¬£¬£¬£¬£¬Æ¾Ö¤Ñù±¾×ÊÁÏÅÌËã³öÀ´µÄÏà¹ØÏµÊýÒ²Ò»¶¨Êܵ½³éÑùÎó²îµÄÓ°Ïì ¡£¡£¡£ ¡£¡£¡£¡£Ò²¾ÍÊÇ˵£¬£¬£¬ £¬£¬£¬£¬£¬´ÓÏà¹ØÏµÊýΪ0µÄ×ÜÌå (¼´ÎÞÏßÐÔÏà¹Ø)ÖÐËæ»ú³éÑùÒ²¿ÉÄܳ鵽|r|£¾0µÄÑù±¾ ¡£¡£¡£ ¡£¡£¡£¡£Òò´Ë£¬£¬£¬ £¬£¬£¬£¬£¬Í¨¹ýÅÌËã»ñµÃÏà¹ØÏµÊýºó£¬£¬£¬ £¬£¬£¬£¬£¬»¹²»¿Éƾ֤|r|µÄ¾Þϸ¶Ôx¡¢y¹ØÏµµÄÇ×½üˮƽ×÷³öÅжϣ¬£¬£¬ £¬£¬£¬£¬£¬ÐèÒª¾ÙÐÐrÏÔÖøÐÔÄ¥Á·£¬£¬£¬ £¬£¬£¬£¬£¬ÒÔ±ãÔ¤ÅÌËãµÃµÄrÓɳéÑùÎó²î(¼´Ïà¹ØÏµÊýΪ0µÄ×ÜÌå)ÒýÆðµÄ¿ÉÄÜÐÔÓжà´ó ¡£¡£¡£ ¡£¡£¡£¡£ÈôÊÇ´ÓÏà¹ØÏµÊýΪ0µÄ×ÜÌåÖÐËæ»ú³éµÃÑù±¾rµÄʱ»ú½Ï´ó(P>0ª±05)£¬£¬£¬ £¬£¬£¬£¬£¬ÔòÑù±¾rºÜ¿ÉÄܳé×ÔrΪ0µÄ×ÜÌ壬£¬£¬ £¬£¬£¬£¬£¬Á½Õß²î±ðÎÞÏÔÖøÒâÒ壻£»£»£»£»£»´Ëʱ×ÝÈ»|r|Öµ½ÏÁ¿´ó£¬£¬£¬ £¬£¬£¬£¬£¬Ò²²»¿ÉÒÔΪxÓëyÓÐÏà¹Ø¹ØÏµ ¡£¡£¡£ ¡£¡£¡£¡£·´Ö®£¬£¬£¬ £¬£¬£¬£¬£¬ÈôÊÇ´ÓÏà¹ØÏµÊýΪ0µÄ×ÜÌåÖÐËæ»ú³éÈ¡»ñµÃÔÆÔÆ´óµÄÑù±¾rµÄʱ»ú½ÏС (P≤0ª±05)£¬£¬£¬ £¬£¬£¬£¬£¬ÔòÒÔΪ´ËÑù±¾rºÜ¿ÉÄܲ»Êdzé×ÔrΪ0µÄ×ÜÌ壬£¬£¬ £¬£¬£¬£¬£¬Á½Õß(Ñù±¾rºÍ×ÜÌå)Ïà²îÏÔÖø ¡£¡£¡£ ¡£¡£¡£¡£´Ëʱ×ÝÈ»|r|½ÏÁ¿Ð ¡£¡£¡£ ¡£¡£¡£¡£¬£¬£¬ £¬£¬£¬£¬£¬ÎÒÃÇÒ²ÒÔΪxÓëyÓÐÏà¹Ø¹ØÏµ ¡£¡£¡£ ¡£¡£¡£¡£Ö»ÓÐÏà¹ØÓÐÏÔÖøÒâÒåʱ£¬£¬£¬ £¬£¬£¬£¬£¬ÎÒÃDzŻªÆ¾Ö¤Ïà¹ØÏµÊý¾ø¶ÔÖµµÄ¾ÞϸÀ´ËµÃ÷xÓëyÏ໥¹ØÏµµÄÇ×½üˮƽ ¡£¡£¡£ ¡£¡£¡£¡£
Ïà¹ØÏµÊýµÄÏÔÖøÐÔÄ¥Á·¿ÉÓÃtÄ¥Á··¨ºÍ²é±í·¨È·¶¨£º

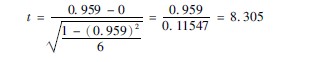
1ª±ÒÔʾÀý3ª²9ª²1ΪÀý£¬£¬£¬ £¬£¬£¬£¬£¬ÅÌËãtÖµ£¬£¬£¬ £¬£¬£¬£¬£¬µÃ£º

±¾Àý×ÔÓɶÈΪ£¨n′£©Îª6£¬£¬£¬ £¬£¬£¬£¬£¬ P0ª±05½çֵΪ2ª±447£¬£¬£¬ £¬£¬£¬£¬£¬P0ª±01½çֵΪ3ª±707£¬£¬£¬ £¬£¬£¬£¬£¬±¾Àýt=8ª±305£¬£¬£¬ £¬£¬£¬£¬£¬²»µ«´óÓÚ2ª±447£¬£¬£¬ £¬£¬£¬£¬£¬Ò²´óÓÚ3ª±707£¬£¬£¬ £¬£¬£¬£¬£¬¹ÊP<0ª±01£¬£¬£¬ £¬£¬£¬£¬£¬¼´Ïà¹ØÏµÊýºÜÊÇÏÔÖø ¡£¡£¡£ ¡£¡£¡£¡£
2ª±ÒÔʾÀý3ª²9ª²2ΪÀý£¬£¬£¬ £¬£¬£¬£¬£¬ÅÌËãtÖµ£¬£¬£¬ £¬£¬£¬£¬£¬µÃ£º

±¾Àý×ÔÓɶÈ(n′)Ϊ38£¬£¬£¬ £¬£¬£¬£¬£¬ P0ª±05½çֵΪ2ª±024£¬£¬£¬ £¬£¬£¬£¬£¬P0ª±01½çֵΪ2ª±712£¬£¬£¬ £¬£¬£¬£¬£¬P0ª±001½çֵΪ3ª±566£¬£¬£¬ £¬£¬£¬£¬£¬±¾Àýt=3ª±50£¬£¬£¬ £¬£¬£¬£¬£¬´óÓÚ2ª±024ºÍ2ª±712£¬£¬£¬ £¬£¬£¬£¬£¬µ«Ð¡ÓÚ3ª±566£¬£¬£¬ £¬£¬£¬£¬£¬¹ÊP<0ª±001£¬£¬£¬ £¬£¬£¬£¬£¬¼´Ïà¹ØÏµÊýºÜÊÇÏÔÖø ¡£¡£¡£ ¡£¡£¡£¡£

¡¾ÍøÕ¾µØÍ¼¡¿¡¾sitemap¡¿