zotyÖÐÅ·ÌåÓý

English zotyÖÐÅ·ÌåÓý¼¯ÍÅÆóÒµÓÊÏä

µÚÈý½Ú Ö±Ï߻ع鷽³Ì

×÷ÕߣºÐìÈÙÏé ³öÊéÉ磺Öйú¿ÆÑ§ÊÖÒÕ³öÊéÉç ¿¯ÐÐÈÕÆÚ£º2009Äê7ÔÂ

Ò»¡¢Ö±Ï߻ع鷽³ÌµÄ¿´·¨
Ëùν»Ø¹é£¬ £¬£¬£¬£¬£¬£¬£¬ÊÇ˵µ±Ò»ÖÖ¹ÛÏó(y)ÊÜÁíÒ»ÖÖÕ÷Ïó(x)µÄÓ°Ï죬 £¬£¬£¬£¬£¬£¬£¬ÖÂʹ(y)Ëæ×ÅÕ÷Ïó(x)µÄ±ä»»¶øÓмÍÂɵı任ʱ£¬ £¬£¬£¬£¬£¬£¬£¬ÕâÖÖЭͬ±äÒìµÄ¹ØÏµÔÚͳ¼ÆÑ§ÖгÆÖ®Îª»Ø¹é¡£¡£¡£¡£ ¡£¡£¡£¡£»£» £»£»£»Ø¹éÆÊÎöÊǵ±Ñо¿Á½ÖÖÊÂÎï¼äµÄÏ໥¹ØÏµÊ±£¬ £¬£¬£¬£¬£¬£¬£¬ÐÎòÆäÖÐÒ»ÖÖÊÂÎïÒÀ´æÁíÒ»ÖÖÊÂÎï±ä»»µÄ¼ÍÂÉ¡£¡£¡£¡£ ¡£¡£¡£¡£Æä±í´ïʽΪ£º


ʽÖÐyΪԤ¼ÆÖµ£»£» £»£»£»αΪ³£Êý£¬ £¬£¬£¬£¬£¬£¬£¬Ò²³ÆÎª½Ø¾à£¬ £¬£¬£¬£¬£¬£¬£¬¼´µ±x¼´ÊÇÁãʱÔڻعéÖ±ÏßÖáÉϵĽ»µã£»£» £»£»£»bΪ»Ø¹éϵÊý£¬ £¬£¬£¬£¬£¬£¬£¬ËüÊǻعéÖ±ÏßµÄбÂÊ£¬ £¬£¬£¬£¬£¬£¬£¬ÆäÒâÒåÊÇÿµ±x±ä»»Ò»¸öµ¥Î»£¬ £¬£¬£¬£¬£¬£¬£¬ÔòyËæÖ®±ä»»b¸öµ¥Î»¡£¡£¡£¡£ ¡£¡£¡£¡£
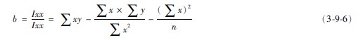
Ö±Ï߻عéÆÊÎöµÄÄ¿µÄÊÇÇó³öÒ»ÌõÄÜÈ·Çз´Ó¦±¾×ÊÁϵĻعé±ä»»¼ÍÂɵÄÖ±Ïß·½³Ìʽ£¬ £¬£¬£¬£¬£¬£¬£¬ÒÔͨ¹ý´ËʽÓÉxÖµÔ¤¼ÆyÖµ¡£¡£¡£¡£ ¡£¡£¡£¡£Ò»Ñùƽ³£ÒªÇ󻨹鷽³ÌÄÜÖª×ãÏÂÊöÌõ¼þ£º¼´´Ó»Ø¹é·½³ÌÍÆËã³öµÄyÖµÓëÏÖʵyÖµÖ®²îµÄƽ·½ºÍ£Û∑(y-y)£Ý2ÊÇ×îСֵ¡£¡£¡£¡£ ¡£¡£¡£¡£È·Á¢Ö±Ï߻ع鷽³ÌʽµÄÒªº¦ÊÇÇó³ö»Ø¹éϵÊýbºÍ½Ø¾àᣬ £¬£¬£¬£¬£¬£¬£¬ËüÃǵÄÅÌË㹫ʽΪ£º
¶þ¡¢ÇóÖ±Ï߻ع鷽³ÌµÄ»ù±¾ÒªÁì
£¨Ò»£©Ð¡Ñù±¾µÄÅÌËãÒªÁì
µ±Ô­Ê¼Êý¾Ýδ¼¸£¨n<40£©Ê±£¬ £¬£¬£¬£¬£¬£¬£¬¿ÉÖ±½Ó°´Êµ²âÊý¾ÝX¡¢Y£¬ £¬£¬£¬£¬£¬£¬£¬Çó∑X¡¢∑Χ2¡¢∑Y¡¢∑Y2¼°∑XY¡£¡£¡£¡£ ¡£¡£¡£¡£´úÈëÏÂÁй«Ê½(3ª²9ª²6)¡¢(3ª²9ª²7) ¡¢(3ª²9ª²8) ¡¢(3ª²9ª²9)£¬ £¬£¬£¬£¬£¬£¬£¬Çóα¡¢bºÍÖ±Ï߻ع鷽³Ì¡£¡£¡£¡£ ¡£¡£¡£¡£

ʽÖÐIxx=∑£¨x-x£©£¨y-y£©(Àë¾ù²î»ýºÍ)
Ixx=∑£¨x-X£©2£¨Àë¾ù²îƽ·½ºÍ£©

ʾÀý3ª²9ª²3ijÑо¿Ö°Ô±ÊÓ²ìθ³¦ÓªÑø½ºÄÒµÄÓªÑø¼ÛÖµ£¬ £¬£¬£¬£¬£¬£¬£¬ÓÃÃ÷È·Êó×öÊÔÑ飬 £¬£¬£¬£¬£¬£¬£¬¶ÔÿֻÃ÷È·ÊóÔÚÊÓ²ìʱ´úθ³¦ÓªÑø½ºÄÒµÄÓÃÁ¿£¨g£©ºÍÌåÖØÔöÌíÁ¿£¨g£©»ãÈë±í£¨3ª²9ª²4£©ÖУ¬ £¬£¬£¬£¬£¬£¬£¬Æ¾Ö¤Ô­Ê¼×ÊÁÏÊÔ×÷Ö±Ï߻عéÆÊÎö¡£¡£¡£¡£ ¡£¡£¡£¡£

¡¾½âÌâ°ì·¨¡¿
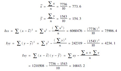
1ª±ÏÈÁгöÖ±Ï߻عéÆÊÎöÅÌËã±í£¬ £¬£¬£¬£¬£¬£¬£¬Çó»ù´¡ÊýÖµ£¨±í3ª²9ª²5£©£º

2ª±Æ¾Ö¤±í3ª²9ª²5ÖеĻù´¡ÊýÖµÅÌËãx¡¢yµÄ¾ùÊý£¨x¡¢y£©¡¢Àë¾ù²îƽ·½ºÍ£¨Ixx¡¢Iyy£©¡¢Àë¾ù²î»ýºÍ£¨Ixy£©¡£¡£¡£¡£ ¡£¡£¡£¡£

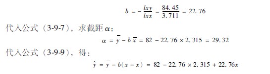
3ª±Æ¾Ö¤¹«Ê½(3ª²9ª²6)¡¢(3ª²9ª²7) ¡¢(3ª²9ª²8)£¬ £¬£¬£¬£¬£¬£¬£¬Çób¡¢αºÍ»Ø¹é·½³Ì¡£¡£¡£¡£ ¡£¡£¡£¡£

4ª±°´ÇóµÃµÄÖ±Ï߻ع鷽³Ì£¬ £¬£¬£¬£¬£¬£¬£¬ÔÚXÖµ¹æÄ£ÄÚí§ÒâÈ¡Á½µã£¨x1y1£©£¬ £¬£¬£¬£¬£¬£¬£¬£¨x22£©£¬ £¬£¬£¬£¬£¬£¬£¬ÏàÁ¬¼´µÃ»Ø¹éÖ±Ïß¡£¡£¡£¡£ ¡£¡£¡£¡£
£¨¶þ£©´óÑù±¾µÄÇó·¨
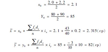
µ±Ô­Ê¼×ÊÁϽÏÁ¿¶àʱ£¬ £¬£¬£¬£¬£¬£¬£¬½ÓСÑù±¾´¦Öóͷ£¹«Ê½ÅÌËãÆäÊÂÇéÁ¿Ï൱µÄ´ó£¬ £¬£¬£¬£¬£¬£¬£¬¿É°´Ö±ÏßÏà¹ØÏµÊýµÄ¼ò½ÝÒªÁìÏÈ»æÖÆË«±äÁ¿ÆµÊý±í£¬ £¬£¬£¬£¬£¬£¬£¬È»ºóÔÙÆ¾Ö¤±íÖеĻù´¡ÊýÖµ»®·ÖÅÌËãx¡¢yµÄ¾ùÊý£¨x¡¢y£©¡¢Àë¾ù²îƽ·½ºÍ£¨Ixx¡¢Iyy£©¡¢Àë¾ù²î»ýºÍ£¨Ixy£©¡£¡£¡£¡£ ¡£¡£¡£¡£ÏÖÒÔʾÀý3ª²9ª²2ΪÀý£¬ £¬£¬£¬£¬£¬£¬£¬ÊÔÓüò½ÝÒªÁìÅÌËã»Ø¹é·½³Ì¡£¡£¡£¡£ ¡£¡£¡£¡£

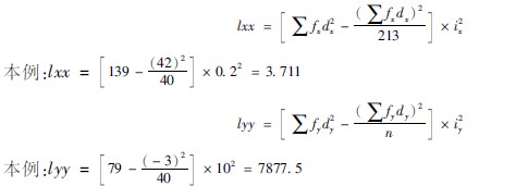
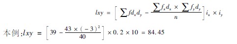
ʾÀý3ª²9ª²2Ñù±¾Êýn=40£¬ £¬£¬£¬£¬£¬£¬£¬×é¾àix=0ª±2£¬ £¬£¬£¬£¬£¬£¬£¬×é¾àiy=10£¬ £¬£¬£¬£¬£¬£¬£¬(∑fxdx)=43£¬ £¬£¬£¬£¬£¬£¬£¬∑fxd2x=139£¬ £¬£¬£¬£¬£¬£¬£¬∑fYdY=-3£¬ £¬£¬£¬£¬£¬£¬£¬∑fyd2y=79£¬ £¬£¬£¬£¬£¬£¬£¬∑fdXdY=39¡£¡£¡£¡£ ¡£¡£¡£¡£
¡¾½âÌâ°ì·¨¡¿
1ª±ÅÌËã¾ùÊý£º±¾Àý¼Ù¶¨¾ùÊý£¨È¡×éÖÐÖµ£¬ £¬£¬£¬£¬£¬£¬£¬x0Ϊ“¡«2ª±0”×éµÄ×éÖÐÖµ£©¡£¡£¡£¡£ ¡£¡£¡£¡£

2ª±Àë¾ù²îµÄƽ·½ºÍ£º

3ª±Àë¾ù²î»ýºÍ£º

4ª±°´¹«Ê½£¨3ª²9ª²6£©£¬ £¬£¬£¬£¬£¬£¬£¬Ç󻨹éϵÊýb£º

Ö±Ï߻ع鷽³Ì£º=29ª±32£«22ª±76x
´ð£ºÆäÖ±Ï߻ع鷽³ÌΪ=29ª±32£«22ª±76x¡£¡£¡£¡£ ¡£¡£¡£¡£
Èý¡¢»Ø¹éϵÊýµÄÏÔÖøÐÔÄ¥Á·
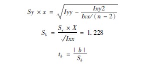
»Ø¹éϵÊýÏÔÖøÐÔÄ¥Á·µÄÒâÒåÓëÏà¹ØÏµÊýµÄÏÔÖøÐÔÄ¥Á·µÄÒâÒåÏàͬ£¬ £¬£¬£¬£¬£¬£¬£¬Æä»Ø¹éϵÊý(b)Ò²ÊÇÒò³éÑùÑо¿µÃÀ´µÄ£¬ £¬£¬£¬£¬£¬£¬£¬×ÝÈ»ÑÏ¿á°´Ëæ»ú³éÑù£¬ £¬£¬£¬£¬£¬£¬£¬»Ø¹éϵÊýÒ²±£´æ³éÑùÎó²îµÄÎÊÌ⣬ £¬£¬£¬£¬£¬£¬£¬Ò²Ó¦¾ÙÐÐÏÔÖøÐÔÄ¥Á·¡£¡£¡£¡£ ¡£¡£¡£¡£µ±y±äÁ¿Ìý´ÓÕý̬ÂþÑÜʱ£¬ £¬£¬£¬£¬£¬£¬£¬»Ø¹éϵÊýµÄÏÔÖøÐÔÄ¥Á·¿ÉÒÔÓÃtÄ¥Á·£¬ £¬£¬£¬£¬£¬£¬£¬Ò²¿ÉÒÔÓ÷½²îÆÊÎöÒªÁìÇóµÃ¡£¡£¡£¡£ ¡£¡£¡£¡£±¾½Ú½öÏÈÈÝtÄ¥Á·ÒªÁì¡£¡£¡£¡£ ¡£¡£¡£¡£
ÓÃtÄ¥Á·ÒªÁìÄ¥Á·»Ø¹éϵÊý£¨b£©ÊÇ·ñÏÔÖø£¬ £¬£¬£¬£¬£¬£¬£¬ÏÈÆ¾Ö¤ÒÔϹ«Ê½»®·ÖÅÌËãsy¡¢xºÍ»Ø¹éϵÊýµÄ±ê×¼Îó£¨sb£©£¬ £¬£¬£¬£¬£¬£¬£¬È»ºóÅÌËãtÖµ¡£¡£¡£¡£ ¡£¡£¡£¡£Æä¹«Ê½»®·ÖΪ (3ª²9ª²10)¡¢(3ª²9ª²11) ¡¢(3ª²9ª²12)£º

µ±ÇóµÃtÖµºó£¬ £¬£¬£¬£¬£¬£¬£¬Æ¾Ö¤×ÔÓɶȣ¨n-2£©²étÖµ±í£¬ £¬£¬£¬£¬£¬£¬£¬Ö÷ҪĿµÄÊÇÓëP=0ª±05Ï൱µÄÁÙ½çÖµ£Ût£¨n′£©0ª±05£Ý¾ÙÐнÏÁ¿¡£¡£¡£¡£ ¡£¡£¡£¡£ÈôÊÇÇóµÃµÄtÖµ< t£¨n′£©0ª±05£¬ £¬£¬£¬£¬£¬£¬£¬ÔòP>0ª±05£¬ £¬£¬£¬£¬£¬£¬£¬»Ø¹éϵÊýÎÞÏÔÖøÒâÒ壻£» £»£»£»Ïà·´£¬ £¬£¬£¬£¬£¬£¬£¬ÈôÊÇÇóµÃµÄtÖµ> t£¨n′£©0ª±05£¬ £¬£¬£¬£¬£¬£¬£¬ÔòP<0ª±05£¬ £¬£¬£¬£¬£¬£¬£¬»Ø¹éϵÊýÓÐÏÔÖøÒâÒ壻£» £»£»£»ÈôÊÇÇóµÃµÄtÖµ> t£¨n′£©0ª±01£¬ £¬£¬£¬£¬£¬£¬£¬ÔòP<0ª±01£¬ £¬£¬£¬£¬£¬£¬£¬»Ø¹éϵÊýÓкÜÊÇÏÔÖøÒâÒå¡£¡£¡£¡£ ¡£¡£¡£¡£
ÏÖÒÔÀý3ª²9ª²3ΪÀý£¬ £¬£¬£¬£¬£¬£¬£¬Ä¥Á·Æä»Ø¹éϵÊýÓÐÎÞÏÔÖøÒâÒå¡£¡£¡£¡£ ¡£¡£¡£¡£
ÓÉÓÚÒÑÖªIyy=4234ª±1£¬ £¬£¬£¬£¬£¬£¬£¬  Ixx=75906ª±4£¬ £¬£¬£¬£¬£¬£¬£¬  Ixy=16843ª±2£¬ £¬£¬£¬£¬£¬£¬£¬n=10£¬ £¬£¬£¬£¬£¬£¬£¬ b=0ª±2219£¬ £¬£¬£¬£¬£¬£¬£¬½«ÒÔÉÏÊý¾Ý»®·Ö´úÈ빫ʽ£¨3ª²9ª²10£©¡¢£¨3ª²9ª²11£©¡¢£¨3ª²9ª²12£©£¬ £¬£¬£¬£¬£¬£¬£¬µÃ£º

²ét½çÖµ±í£¨¸½±í4£©£ºn′=8£¨10-2£©Ê±£¬ £¬£¬£¬£¬£¬£¬£¬t£¨8£©0ª±01=3ª±355¡£¡£¡£¡£ ¡£¡£¡£¡£±¾Àýt=7ª±7587£¬ £¬£¬£¬£¬£¬£¬£¬p<0ª±01£¬ £¬£¬£¬£¬£¬£¬£¬ »Ø¹éϵÊýÓкÜÊÇÏÔÖøÒâÒå¡£¡£¡£¡£ ¡£¡£¡£¡£
ËÄ¡¢Ïà¹ØºÍ»Ø¹éÆÊÎöӦע֨µÄÊÂÏî
1ª± Ã÷È·Ïà¹ØÓë»Ø¹éÆÊÎöµÄʵÖÊÄÚÈÝ
Ïà¹ØÏµÊý˵Ã÷Á½±äÁ¿¼ä¹ØÏµµÄÇ×½üˮƽ£¬ £¬£¬£¬£¬£¬£¬£¬»Ø¹é·½³Ì˵Ã÷Á½±äÁ¿¼äµÄÊýÄ¿¹ØÏµ£¬ £¬£¬£¬£¬£¬£¬£¬Á½Õß˵Ã÷µÄÎÊÌâ²î±ð£¬ £¬£¬£¬£¬£¬£¬£¬Ö®¼äÓÐÏà¹Ø¹ØÏµ¡£¡£¡£¡£ ¡£¡£¡£¡£Òò´Ë£¬ £¬£¬£¬£¬£¬£¬£¬ÈôÊǻعéϵÊýÏÔÖøÐÔÄ¥Á·ÓÐÏÔÖøÐԵϰ£¬ £¬£¬£¬£¬£¬£¬£¬Ïà¹ØÏµÊýÒ²Ò»¶¨ÊÇÏÔÖøµÄ£¬ £¬£¬£¬£¬£¬£¬£¬·´Ö®ÒàÈ»¡£¡£¡£¡£ ¡£¡£¡£¡£
2ª±×¼È·Ã÷È·Ïà¹ØÆÊÎöµÄ×÷ÓÃ
Ïà¹ØÆÊÎöÖ»ÊÇÒÔÏà¹ØÏµÊýÀ´ÐÎòÁ½¸ö±äÁ¿¼äÏ໥¹ØÏµµÄÇ×½üˮƽºÍÆ«Ïò£¬ £¬£¬£¬£¬£¬£¬£¬²¢²»¿ÉÆÊÎöÁ½ÊÂÎï»òÕ÷Ïó¼ä±£´æÁªÏµµÄʵÖÊ¡£¡£¡£¡£ ¡£¡£¡£¡£²¢ÇÒÏà¹Ø²¢·×Æç¶¨¾ÍÊÇÒò¹û¹ØÏµ£¬ £¬£¬£¬£¬£¬£¬£¬Çв»¿É´¿´âÒÀÀµÏà¹ØÏµÊý»ò»Ø¹éϵÊýµÄÏÔÖøÐÔ֤ʵÒò¹û¹ØÏµÖ®±£´æ¡£¡£¡£¡£ ¡£¡£¡£¡£ÒªÖ¤ÊµÁ½ÊÂÎï¼äµÄÒò¹û¹ØÏµ£¬ £¬£¬£¬£¬£¬£¬£¬±ØÐèÆ¾½åרҵ֪ʶ´ÓÀíÂÛÉϼÓÒÔÆÊÎö¡£¡£¡£¡£ ¡£¡£¡£¡£¿ÉÊÇ£¬ £¬£¬£¬£¬£¬£¬£¬µ±ÊÂÎï¼äµÄÒò¹û¹ØÏµÎ´±»ÊìϤǰ£¬ £¬£¬£¬£¬£¬£¬£¬Ïà¹ØÆÊÎö¿ÉΪÀíÂÛÑо¿ÌṩÏßË÷¡£¡£¡£¡£ ¡£¡£¡£¡£
3ª±²»Òª°ÑºÁÎÞ¹ØÁªµÄÁ½¸öÊÂÎï»òÕ÷ÏóÓÃÀ´×÷Ïà¹Ø»ò»Ø¹éÆÊÎö£¬ £¬£¬£¬£¬£¬£¬£¬²»È»ÊÇûÓÐÒâÒåµÄ¡£¡£¡£¡£ ¡£¡£¡£¡£ÁíÍ⣬ £¬£¬£¬£¬£¬£¬£¬Ïà¹ØÆÊÎöֻ˵Ã÷Ïà¹Ø¡£¡£¡£¡£ ¡£¡£¡£¡£
4ª±²»Òª°ÑÏà¹ØÏÔÖøÐÔ¾ÞϸÎó½âΪÏà¹ØË®Æ½µÄ¾Þϸ¡£¡£¡£¡£ ¡£¡£¡£¡£Ïà¹ØÏµÊýÊÇ˵Ã÷Á½ÊÂÎï¼äÇ×½üˮƽµÄ£¬ £¬£¬£¬£¬£¬£¬£¬ rµÄ¾ø¶ÔÖµÔ½¿¿½üÓÚ1£¬ £¬£¬£¬£¬£¬£¬£¬Ïà¹ØÔ½Ç×½ü£»£» £»£»£»Ô½¿¿½ü0£¬ £¬£¬£¬£¬£¬£¬£¬ÔòÏà¹ØË®Æ½Ô½ËÉÉ¢¡£¡£¡£¡£ ¡£¡£¡£¡£Ïà¹ØÏµÊýµÄÏÔÖøÐÔÄ¥Á·ÊÇ˵Ã÷ÓɳéÑùÎó²îÒýÆðÕâÑù´óµÄrÖµµÄ¿ÉÄÜÐÔÓжà´ó¡£¡£¡£¡£ ¡£¡£¡£¡£P>0ª±05˵Ã÷ÓɳéÑùÎó²îÒýÆðÕâÑù´óµÄrÖµµÄ¿ÉÄÜÐÔ´óÓÚ5%£¬ £¬£¬£¬£¬£¬£¬£¬Òò´Ë¶ø²»É¨³ýËü³é×ÔÓÚÎÞÏà¹ØµÄ×ÜÌå¡£¡£¡£¡£ ¡£¡£¡£¡£Ö»ÓÐP≤0ª±05£¬ £¬£¬£¬£¬£¬£¬£¬ r²ÅÓÐÒâÒå¡£¡£¡£¡£ ¡£¡£¡£¡£
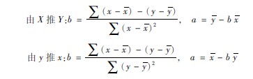
5ª±ÔڻعéÆÊÎöÖУ¬ £¬£¬£¬£¬£¬£¬£¬ÓÉxÍÆËãy»òÓÉyÍÆËãx £¬ £¬£¬£¬£¬£¬£¬£¬Æä»Ø¹é·½³Ì²î±ð£¬ £¬£¬£¬£¬£¬£¬£¬²»¿É»ìÓᣡ£¡£¡£ ¡£¡£¡£¡£ÍÆË㹫ʽÈçÏ£º

6ª±Ïà¹ØÓë»Ø¹éµÄÇø±ðºÍÁªÏµ
Ïà¹ØÌåÏÖÁ½±äÁ¿¼äµÄÏ໥¹ØÏµÊÇ˫ƫÏòµÄ¡£¡£¡£¡£ ¡£¡£¡£¡£¶ø»Ø¹éÔòÌåÏÖyËæx¶ø×ª±ä£¬ £¬£¬£¬£¬£¬£¬£¬ÕâÖÖ¹ØÏµÊǵ¥Æ«ÏòµÄ¡£¡£¡£¡£ ¡£¡£¡£¡£Ò½Ñ§×ÊÁÏÖеÄÓÐЩ×ÊÁÏÓÃÏà¹ØÌåÏÖ½ÏÏàÒË£¬ £¬£¬£¬£¬£¬£¬£¬ºÃ±ÈÐÖµÜÓë½ãÃüäµÄÉí³¤¹ØÏµ¡¢È˵ÄÉí³¤Óëǰ±Û³¤Ö®¼äµÄ¹ØÏµµÈ×ÊÁÏ¡£¡£¡£¡£ ¡£¡£¡£¡£µ«ÓÐЩ×ÊÁÏÓÃÏà¹ØºÍ»Ø¹é¶¼²»ÏàÒË£¬ £¬£¬£¬£¬£¬£¬£¬´ËʱÐëÊÓÑо¿ÐèÒª¶ø¶¨¡£¡£¡£¡£ ¡£¡£¡£¡£¾ÍÒ»Ñùƽ³£ÅÌËã³ÌÐòÀ´Ëµ£¬ £¬£¬£¬£¬£¬£¬£¬ÊÇÏÈÇó³öÏà¹ØÏµÊýr²¢¶ÔÆä¾ÙÐмÙÉèÄ¥Á·£¬ £¬£¬£¬£¬£¬£¬£¬ÈôÊÇrÏÔÖø²¢ÓоÙÐлعéÆÊÎöÖ®ÐëÒª£¬ £¬£¬£¬£¬£¬£¬£¬ÔÙ½¨Éè»Ø¹é·½³Ì¡£¡£¡£¡£ ¡£¡£¡£¡£
7ª±ÊʺÏ×÷Ïà¹ØºÍ»Ø¹éÆÊÎöµÄ×ÊÁÏͨ³£ÓÐÁ½ÖÖ×ÊÁÏ
£¨1£©Ò»¸ö±äÁ¿xÊÇÑ¡¶¨µÄ£¬ £¬£¬£¬£¬£¬£¬£¬ÁíÒ»¸ö±äÁ¿yÊÇ´ÓÕý̬ÂþÑܵÄ×ÜÌåÖÐËæ»ú³éÈ¡µÄ£¬ £¬£¬£¬£¬£¬£¬£¬ÒË×÷»Ø¹éÆÊÎö¡£¡£¡£¡£ ¡£¡£¡£¡£
£¨2£©Á½±äÁ¿x¡¢y£¨»òx1¡¢x2£©¶¼ÊÇ´ÓÕý̬ÂþÑܵÄ×ÜÌåÖÐËæ»ú³éÈ¡µÄ£¬ £¬£¬£¬£¬£¬£¬£¬¼´ÊÇÕý̬˫±äÁ¿ÖеÄËæ»úÑù±¾¡£¡£¡£¡£ ¡£¡£¡£¡£Õâʱ£¬ £¬£¬£¬£¬£¬£¬£¬ÈôÐèÒªÓÉÒ»¸ö±äÁ¿ÍÆËãÁíÒ»¸ö±äÁ¿¿É×÷»Ø¹éÆÊÎö£»£» £»£»£»ÈôÖ»Ðè˵Ã÷Á½±äÁ¿¼äµÄÏ໥¹ØÏµ¿É×÷Ïà¹ØÆÊÎö¡£¡£¡£¡£ ¡£¡£¡£¡£ÈôÊDZäÁ¿£¨Ò»¸ö»òÁ½¸ö£©³ÊÏÔ×ÅÆ«Ì¬Ê±£¬ £¬£¬£¬£¬£¬£¬£¬Ðë¾­ÓÉÊʵ±µÄ±äÁ¿´ú»»£¨Èç¶ÔÊý´ú»»µÈ£©£¬ £¬£¬£¬£¬£¬£¬£¬Ê¹×ÊÁϽÓÊÜÕý̬ÂþÑܺóÔÙ×öÏà¹ØÓë»Ø¹éÆÊÎö£¬ £¬£¬£¬£¬£¬£¬£¬»òÕß½ÓÄÉÖÈÏà¹Ø·¨¡£¡£¡£¡£ ¡£¡£¡£¡£

¡¾ÍøÕ¾µØÍ¼¡¿¡¾sitemap¡¿