zoty中欧体育

English zoty中欧体育集团企业邮箱

第一节 集中趋势指标

作者:徐荣祥 出书社:中国科学手艺出书社 刊行日期:2009年7月

离散(dispersion)趋势指标指的是计量资料所有视察值偏离中心位置的水平(measures of variation)。 。。。。形貌离散趋势的主要统计指标有全距(range,,,,,R)、方差(variance)、标准差(standard deviation)、变异系数(coefficient of variation)等。 。。。。
一、全距
全距又称极差,,,,,以符号R体现。 。。。。R即是一个变量的所有视察值中最大值(maximum,,,,,Max)与最小值(miximum,,,,,Max)之间的差值。 。。。。盘算公式为(368):R=Max-Max。 。。。。当盘算计量单位相同的变量时,,,,,全距越大,,,,,视察值的离散水平越大。 。。。。
如一组烧伤病人的最大烧伤面积为90%TBSA,,,,,最小面积为10%TBSA,,,,,按公式(368)盘算,,,,,R=90-10=80%TBSA。 。。。。
二、方差
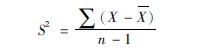
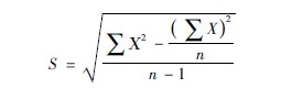
方差是离均差平方和的平均值,,,,,方差的巨细只与视察值离散水平有关,,,,,而与视察值个数的几多无关。 。。。。样本方差以符号S2体现,,,,,是总体方差的预计值,,,,,按公式(369)盘算:

式中∑(X-X)2为离均差平方和,,,,, n-1为自由度(n′)。 。。。。因总体方差不易获得,,,,,现实事情中常用样本方差作为总体方差的预计。 。。。。
方差多用于方差剖析或两个样本标准差合并盘算之用。 。。。。如甲组25人,,,,,标准差为28,,,,,乙组46人,,,,,标准差为22,,,,,两组合并标准差公式为(369):

三、 标准差
凭证上述看法,,,,,全距系指一组变量值中最大值与最小值的差;;;;;;标准差则体现这一组变量值漫衍的离散水平。 。。。。为进一步说明其离散水平,,,,,试看下面这两组数据:
A组:80、90、100、110、120(平均数=100)
B组:98、99、100、101、102(平均数=100)
这两组数值的均数都是100,,,,,可是变量值的波动规模却有很大差别,,,,,A组数据最大值与最小值之差(全距)为40(120~80),,,,,B组数据最大值与最小值之差(全距)为4(102~98)。 。。。。由此可见,,,,,A组数据的波动规模比B组大得多。 。。。。故均数不可完全说明事物内部的实质,,,,,需要用标准差来综合剖析。 。。。。现在以为反应数据准确度较为完善的指标就是标准差。 。。。。
又如:甲组5例病人的烧伤总面积划分为90%、80%、70%、21%、9%TBSA,,,,,平均为54%TBSA;;;;;;乙组5例病人的烧伤总面积划分为100%、49%、49%、36%、36%TBSA,,,,,平均值也为54%TBSA,,,,,但甲组特重度病人有3例,,,,,乙组仅有1例。 。。。。两组均值虽然相等,,,,,但并无同质性和可比性,,,,,同时也可看出标准差的主要性。 。。。。由于标准差是一个个体数据无意性波动巨细的标准标准,,,,,标准差大,,,,,体现个体数据波动性大,,,,,标准差小,,,,,体现个体数据波动性小。 。。。。
四、标准差盘算
1直接盘算公式(3610):

S为标准差,,,,,∑Χ2为变量值平方后的和,,,,,(∑x)2是变量值总和后的平方,,,,,n为变量个数。 。。。。
示例365:测得9例创面出血病人的血小板数目划分为:30、50、40、40、50、40、30、50、149(×109/L),,,,,求它们的标准差。 。。。。
【解题办法】
先划分求出公式(3610)中的∑Χ2和(∑Χ)2/n,,,,,及n-1值,,,,,然子女入公式。 。。。。
由于∑Χ2为变量值平方后的和,,,,,即:
∑Χ2=302+502+402+402+502+402+302+502+1492=36301
[(∑Χ)2]/n=(30+50+40+40+50+40+30+50+149)2/9=254934
(n-1)为(9-1)=8
代入公式(3610),,,,,得:

答:9例创面出血病人的血小板标准差为36755×109/L。 。。。。
2大样本加权法公式
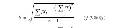
盘算大样本资料,,,,,应绘制频数表资料,,,,,凭证公式(3611)盘算标准差:

式中∑fX为各组段X与本组段频数乘积之和,,,,,∑fΧ2为各组段fx与本组段X乘积之和。 。。。。
示例366仍以例362为例,,,,,即某院视察了110例特重度烧伤病人的血液血红卵白含量,,,,,其浓度规模在115~150 g/L之间,,,,,求其标准差。 。。。。
【解题办法】
凭证表362中提供的数据,,,,,将(∑f)=110、(∑fX)=13194、(∑fΧ2)=1584990代入公式(3611),,,,,得:

效果:110例烧伤病人的血红卵白标准差为472g/L。 。。。。
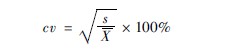
五、变异系数
在统计学上将变量值间的差别称为变异,,,,,批注这种变异的指标有全距、标准差和变异系数。 。。。。如上所述,,,,,标准差的作用是用来确定两组数据的波动水平,,,,,一样平常情形下,,,,,哪一个标准差大,,,,,哪一组的数据波动规模也大;;;;;;哪一个标准差小,,,,,其波动规模也小。 。。。。可是,,,,,当较量差别类型的数据时,,,,,如身长与体重,,,,,或两个平均数相差较大时,,,,,若直接用标准差判断它们的波动水平就不稳当了,,,,,由于标准差只能反应绝对波动巨细,,,,,不可反应相对波动巨细。 。。。。这种表达相对数波动巨细的指数称为变异系数,,,,,用cv或ν体现。 。。。。该指标也可明确为用百分比体现的标准差,,,,,即标准差(s)与均数(X)之比。 。。。。其公式为(3612):

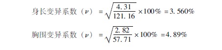
示例367某院视察了7岁男孩身高均数为12116cm,,,,,标准差为431cm,,,,,胸围均数5771cm,,,,,标准差为282cm。 。。。。较量两者的变异水平。 。。。。
【解题办法】
凭证公式(3612),,,,,划分求身长变异系数和胸围变异系数:

答:本例身长均数显着大于胸围均数,,,,,若与标准差直接较量,,,,,胸围的变异系数似乎小于身长,,,,,但经由变异系数盘算,,,,,结论为胸围的变异水平并不比身长变异水平小。 。。。。由此可见,,,,,身长的变异水平比胸围稳固。 。。。。
六、标准误
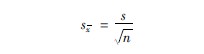
由于均数的标准误与样本标准差相似,,,,,都是说明离散水平的指标,,,,,故在此作一先容。 。。。。变异系数均数标准误有两种,,,,,一种是总体标准误,,,,,一种是样本标准误。 。。。。总体标准误(σx)和样本标准误(sx、SE、SEM)是体现均数误差水平的指标。 。。。。在医学研究中,,,,,常在总体中抽出一部分作为样本,,,,,然后再凭证样本的视察效果推论总体情形。 。。。。可是,,,,,由于在统一总体中的个体之间一定保存着差别(犹如是50%TBSA烧伤),,,,,样本均数与总体均数之间保存差别,,,,,各个样本均数之间一定爆发差别,,,,,谓之标准误(sx),,,,,是由抽样引起的。 。。。。标准误越小,,,,,说明样本均数与总体均数越靠近,,,,,用样本均数推论总体均数的可能性越大;;;;;;反之,,,,,标准误越大,,,,,说明用样本均数推论总体均数的可能性越小。 。。。。故均数标准误是测定样本均数变异规模的标准。 。。。。在医学资料中,,,,,常用样本均数±标准误的形式(x±sx)体现资料的可靠水平。 。。。。一样平常来说,,,,,在x±1×sx的规模内,,,,,总体均数泛起的概率为683%;;;;;;在x±2×sx的规模内,,,,,总体均数泛起的概率为95%,,,,,或者说有95%以上的掌握可以为总体均数在这个规模之内,,,,,也可以为重复同样实验100次,,,,,得出100个均数,,,,,会有95%以上的均数漫衍在x±2×sx的规模内。 。。。。公式(3613)为:

sx为标准误,,,,,s为样本标准差,,,,,n为样本个数。 。。。。
示例368某院抽查了100例病人的血液红细胞数目,,,,,其样本均值为50×109/L,,,,,样本标准差为246×109/L,,,,,求其标准误。 。。。。
【解题办法】
凭证公式(3613),,,,,求得:

答:本例样本标准误为0246(×109/L),,,,,资料的可靠水平为50±0246(×109/L)。 。。。。
七、平均数、标准差、标准误的应用
1体现正惯例模如体温、脉搏,,,,,血压,,,,,红细胞,,,,,白细胞等正常值等盘算均需要标准差的加入。 。。。。正常值规模一样平常是以平均数±2个标准差作为划定界线,,,,,现以红细胞为例说明这个问题。 。。。。如我们所求得的康健男子红细胞平均值为50×109/L,,,,,标准差为25×109/L,,,,,则正常男子红细胞的正常值可定为50±2×25,,,,,即45×109/L~55×109/L规模内。 。。。。但应注重,,,,,在应用此要领时,,,,,变量的漫衍必需是正态漫衍,,,,,如属于非正态漫衍者,,,,,应接纳其他要领盘算。 。。。。
2预计受试工具所需样本数
(1)使用标准误公式推算样本数:
示例369某医院测定了80名严重烧伤患者早期血液肌酐(Cr)含量,,,,,测定效果:均数(x)=1548μmmol/L,,,,,标准差(s)=158μmmol/L ,,,,,标准误=1778μmmol/L,,,,, 即现在95%的置信限为1548±354μmmol/L ,,,,,欲求95%的置信限在158±20μmmol/L的规模内,,,,,需要视察几多例才华泛起这种效果?
【解题办法】
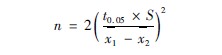
①凭证标准误盘算公式(3613)推算样本数(n),,,,,公式为(3614):

②由于95%的置信限为x±2×sx,,,,,今求2×sx=20,,,,,即sx=10。 。。。。把有关数据代入公式(3614),,,,,得:

③结论:若把视察人数增添到250人,,,,,可能使置信限规模抵达1548±20μmol/L 。 。。。。
(2)使用两合并标准差推算样本数:
示例3510某医生用某药治疗粒细胞镌汰症,,,,,为视察某药物用口服要领及肌肉注射要领对最高疗效泛起时间(天)的影响。 。。。。凭证准备试验效果,,,,,口吃法最高疗效泛起的平均时间为222天,,,,,肌肉注射法为175天,,,,,合并标准差(s)为1391天。 。。。。问各组需视察几多例才华使两组均数的差别有显著意义?   
【解题办法】
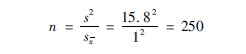
①本例是两个样本平均数作较量的资料,,,,,当两组样内情等时,,,,,其样本巨细的预计公式为(3615):

 n=每组例数,,,,,t005=表中查出的标准值,,,,,s=合并标准差,,,,,x1-x2=两组均数差。 。。。。
②当n≥30时,,,,,查表得出t005=20,,,,,因x1-x2=475,,,,,s=1391,,,,,代入公式(3615):

③结论:每组需要视察69例才华使两组均数差别有显著意义。 。。。。

【网站地图】【sitemap】