zotyÖÐÅ·ÌåÓý

English zotyÖÐÅ·ÌåÓý¼¯ÍÅÆóÒµÓÊÏä

µÚÒ»½Ú ÌØ´óÃæ»ýÉÕÉ˲¡Àý(1)ÖÎÁƼͼ

×÷ÕߣºÐìÈÙÏé ³öÊéÉ磺Öйú¿ÆÑ§ÊÖÒÕ³öÊéÉç ¿¯ÐÐÈÕÆÚ£º2009Äê7ÔÂ

¼¯ÖÐÇ÷ÊÆ£¨central tendency£©Ö¸µÄÊÇÒ»¸ö¼ÆÁ¿×ÊÁÏÖÐËùÓÐÊÓ²ìÖµµÄÖÐÐÄλÖᣡ£¡£¡£¡£¡£ÐÎò¼¯ÖÐÇ÷ÊÆµÄÖ÷ÒªÖ¸±êÓÐËãÊõ¾ùÊý£¨arithmetic mean£©¡¢¼¸ºÎ¾ùÊý£¨geometric mean£¬£¬£¬£¬£¬G£©ºÍÖÐλÊý£¨median£¬£¬£¬£¬£¬M£©£¬£¬£¬£¬£¬ÕâЩָ±êÒ²³ÆÎ»Öû³±§Ö¸±ê£¨measerus of location£©¡£¡£¡£¡£¡£¡£
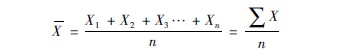
Ò»¡¢ËãÊõ¾ùÊý
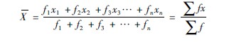
ƽ¾ùÖµÊÇÌåÏÖһȺÐÔ×ÓÏàͬ±äÁ¿ÖµµÄ¼¯ÖÐÇ÷ÊÆ»òƽ¾ùˮƽ¡£¡£¡£¡£¡£¡£ÀýÈ磬£¬£¬£¬£¬ÓûÏàʶijµØ³ÉÈËÄÐ×Óºìϸ°ûµÄÕý³£Ë®Æ½£¬£¬£¬£¬£¬ÈôÊÇÎÒÃÇÖ»²â¶¨Ò»Ð¡²¿·ÖÑù±¾£¨ÉÙÊýÈË£©£¬£¬£¬£¬£¬ÆäЧ¹ûÏÔÈ»²»¿É´ú±í×ÜÌåˮƽ£¬£¬£¬£¬£¬Ö»ÓÐÕÉÁ¿´ó×ڸõØÇø¿µ½¡ÄÐÐÔ»òÅ®ÐÔºìϸ°ûÊý£¬£¬£¬£¬£¬Çó³öÒ»¸öƽ¾ùÖµ£¬£¬£¬£¬£¬·½ÄܽÏÁ¿ÇкÏÏÖʵµÄ·´Ó¦³öÄÐÐÔ»òÅ®ÐÔѪҺºìϸ°ûµÄÕæÕæÏàÐΡ£¡£¡£¡£¡£¡£Òò´Ë£¬£¬£¬£¬£¬Æ½¾ùÊýÓ¦¾ßÓÐÁ½¸ö»ù±¾ÌØÕ÷£ºÒ»¸öÊÇÓ¦µ±ÓÐһȺ´óµÄÑù±¾ÊýÄ¿£¬£¬£¬£¬£¬µÚ¶þ¸öÊǾßÓÐͬÐÔ×Ó¡£¡£¡£¡£¡£¡£ÓÃÂí¿Ë˼µÄ»°À´Ú¹ÊÍ£¬£¬£¬£¬£¬“ƽ¾ùÁ¿Ö»ÊÇÖÖÀàÏàͬµÄÐí¶à²î±ðµÄ¸öÌåÁ¿µÄƽ¾ù”¡£¡£¡£¡£¡£¡£ÈôÊDz»Ë¼Á¿ÐÔ×ÓÏàͬÕâÒ»Ìõ¼þ£¬£¬£¬£¬£¬Ã¤Ä¿ÅÌËã±äÁ¿ÖµµÄƽ¾ùÊý£¬£¬£¬£¬£¬²»µ«²»¿É׼ȷ˵Ã÷±»Ñо¿ÊÂÎïµÄÕæÏ࣬£¬£¬£¬£¬Ïà·´»¹»áµ¼Ö¹ýʧµÄ½áÂÛ¡£¡£¡£¡£¡£¡£Æ½¾ùÖµµÄÅÌËãÒªÁ죺
£¨Ò»£©Ö±½ÓÅÌËã·¨
Ö±½ÓÅÌËã·¨Ò²³ÆËãÊõ¾ùÊý£¬£¬£¬£¬£¬ÊÊÓÃÓÚСÑù±¾¾ùÊýÅÌËã¡£¡£¡£¡£¡£¡£¹«Ê½£¨3ª²6ª²1£©Îª£º

XΪƽ¾ùÊý£¬£¬£¬£¬£¬xΪ±äÁ¿Êý£¬£¬£¬£¬£¬nΪ±äÁ¿ÖµµÄ¸öÊý£¬£¬£¬£¬£¬∑ÌåÏÖ×ܺ͵ķûºÅ£¬£¬£¬£¬£¬∑xΪ¸÷±äÁ¿µÄ×ܺÍ¡£¡£¡£¡£¡£¡£
ʾÀý3ª²6ª²1ijҽÉúÕÉÁ¿ÁË10ÀýС¶ùÉÕÉË»¼ÕßµÄÌåÖØ»®·ÖΪ£º10¡¢12¡¢14¡¢15¡¢24¡¢17¡¢33¡¢35¡¢28¡¢35kg£¬£¬£¬£¬£¬ÇóËûÃÇµÄÆ½¾ùÌåÖØ£¿£¿£¿£¿ £¿£¿£¿
¡¾½â¡¿Æ¾Ö¤¹«Ê½£¨3ª²6ª²1£©£¬£¬£¬£¬£¬ÅÌËãÈçÏ£º

´ð£ºËûÃÇµÄÆ½¾ùÌåÖØÎª22ª±3kg¡£¡£¡£¡£¡£¡£
£¨¶þ£©¼ÓȨ·¨
Ò²ÊôÓÚËãÊõ¾ùÊý£¬£¬£¬£¬£¬ÊÊÓÃÓÚ´óÑù±¾¾ùÊýÅÌËã¡£¡£¡£¡£¡£¡£¹«Ê½£¨3ª²6ª²2£©Îª£º

ʽÖÐX1£¬£¬£¬£¬£¬X2£¬£¬£¬£¬£¬X3£¬£¬£¬£¬£¬…Xn»®·ÖΪ¸÷×é¶ÎµÄ×éÖÐÖµ£¬£¬£¬£¬£¬¼´±¾×é¶ÎµÄÏÂÏÞÓëÏàÁڽϴó×é¶ÎµÄÏÂÏÞÏà¼Ó³ýÒÔ2£¬£¬£¬£¬£¬ÈçÏÂÀý£¨±í3ª²6ª²1£©ÖГ108~”×é¶ÎµÄ×éÖÐÖµX1=£¨108+110£©/2=109£¬£¬£¬£¬£¬ÓàÀàÍÆ¡£¡£¡£¡£¡£¡£ÕâÀïµÄfÆðµ½Á˓ȨÊý”µÄ×÷Ó㬣¬£¬£¬£¬ËüȨºâÁ˸÷×éÖÐÖµÓÉÓÚÆµÊý²î±ð¶Ô¾ùÊýµÄÓ°Ïì¡£¡£¡£¡£¡£¡£¼´ÆµÊý¶à£¬£¬£¬£¬£¬È¨Êý´ó£»£»£» £»£»ÆµÊýÉÙ £¬£¬£¬£¬£¬È¨ÊýС£¡£¡£¡£¡£¡£¬£¬£¬£¬£¬×÷ÓÃҲС¡£¡£¡£¡£¡£¡£Òò´Ë£¬£¬£¬£¬£¬±¾·¨³ÆÎª¼ÓȨ·¨¡£¡£¡£¡£¡£¡£
×éÖÐÖµÅÌË㹫ʽ£¨3ª²6ª²3£©Îª£º

ʾÀý3ª²6ª²2ijҽԺ²â¼ìÁË110ÀýÌØÖØ¶ÈÉÕÉ˲¡ÈËѪҺѪºìÂѰ׺¬Á¿£¬£¬£¬£¬£¬ÆäŨ¶È¹æÄ£ÔÚ115¡«150g/LÖ®¼ä£¬£¬£¬£¬£¬ÆµÊýÂþÑÜÇéÐμû±í3ª²6ª²1£¬£¬£¬£¬£¬Ê¹ÓÃ×éÖÐÖµÒªÁìÅÌËãËûÃÇµÄÆ½¾ùѪºìÂѰ×Ũ¶È¡£¡£¡£¡£¡£¡£

¡¾½âÌâ°ì·¨¡¿
1ª±Æ¾Ö¤110Àý²¡È˵ļì²âЧ¹û£¬£¬£¬£¬£¬ÒÔ2g/L²î¶î»®·ÖÆ·¼¶£¬£¬£¬£¬£¬¼´×é±ðÒÀ´ÎΪ£º108¡¢110¡¢112¡¢…132µÈ13¸öÆ·¼¶¡£¡£¡£¡£¡£¡£
2ª±½«ËùÔÚÆ·¼¶¹æÄ£ÄÚµÄÀýÊý×÷ΪƵÊý£¬£¬£¬£¬£¬ÈçÔÚ108¡«110Ö®ÄÚÕß¹²1Àý£¬£¬£¬£¬£¬ÆäƵÊýΪ1¡£¡£¡£¡£¡£¡£
3ª±Æ¾Ö¤¹«Ê½3ª²6ª²3ÅÌËã×éÖÐÖµ£ºÈÔÒÔ108¡«110×éΪÀý£¬£¬£¬£¬£¬±¾×é¶ÎÏÂÏÞΪ108£¬£¬£¬£¬£¬ÉÏÏÞΪ110£¬£¬£¬£¬£¬108+110/ƵÊý=218/2=109¡£¡£¡£¡£¡£¡£
4ª±ÓÉÓÚfn=ƵÊý××éÖÐÖµ£¬£¬£¬£¬£¬ÒÔ´ËÅÌËã¸÷×éµÄѪºìÂѰ××ÜÁ¿¡£¡£¡£¡£¡£¡£
5ª±½«¸÷×éµÄ×éÖÐÖµÏà¼Ó£¬£¬£¬£¬£¬Çó³ö∑f¡£¡£¡£¡£¡£¡£
6ª±½«ÒÔÉÏÅÌËãЧ¹û»ãÖÆ±í3ª²6ª²1ÖС£¡£¡£¡£¡£¡£
7ª±Æ¾Ö¤¹«Ê½£¨3ª²6ª²2£©£¬£¬£¬£¬£¬ÇóXÖµ£º

8ª±Ð§¹û£º110Àý²¡È˵ÄѪºìÂÑ°×Æ½¾ùֵΪ119ª±95g/L¡£¡£¡£¡£¡£¡£
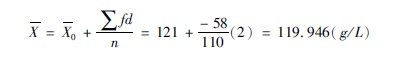
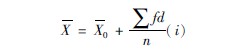
£¨Èý£©¼ò½Ý·¨
¼ò½Ý·¨Êǽ«ÆµÊý±íÉϵÄÊýÖµ¼ò»¯³É×î¼òÆÓµÄ×ÔÈ»Êý£¬£¬£¬£¬£¬ÔÙ°´¹«Ê½£¨3ª²6ª²4£©ÅÌËã¾ùÖµ£º

ʽÖÐXΪ¾ùÊý£¬£¬£¬£¬£¬X0Ϊ¼ÙÉè¾ùÊý£¬£¬£¬£¬£¬iΪ×é¾à£¬£¬£¬£¬£¬fΪ±äÁ¿ÖµµÄƵÊý£¨¼´¸öÊý£©£¬£¬£¬£¬£¬dΪ²îÊý£¬£¬£¬£¬£¬nΪÊÓ²ìÖµÊý¡£¡£¡£¡£¡£¡£
¡¾½âÌâ°ì·¨¡¿
1ª±ÈÔÒÔÀý3ª²6ª²2ΪÀý£¬£¬£¬£¬£¬ÌåÀýƵÊý±í3ª²6ª²2¡£¡£¡£¡£¡£¡£
2ª±ÅÌËã¸÷×éµÄ×éÖÐÖµ£ºÅÌË㹫ʽΪ3ª²6ª²3£¬£¬£¬£¬£¬µÚÒ»×éµÄ×éÖÐֵΪ£¨108+110£©/2=109¡£¡£¡£¡£¡£¡£ÆäËû×éµÄ×éÖÐÖµÅÌËãÒªÁìÓë´Ë·¨Ïàͬ¡£¡£¡£¡£¡£¡£
3ª±Ñ¡ÔñÒ»¸ö×éÖÐÖµ×÷Ϊ¼ÙÉè¾ùÊý£ºÎªÁ˱ãÒÔÅÌË㣬£¬£¬£¬£¬ÒËѡƵÊý×î¶àµÄÒ»×飬£¬£¬£¬£¬±¾ÀýµÚÆß×鯵Êý¶à´ï21£¬£¬£¬£¬£¬Ó¦ÒÔÆß×éµÄ×éÖÐÖµ£¨21£©Îª¼ÙÉè¾ùÊý¡£¡£¡£¡£¡£¡£
4ª±Ã¿×éµÄ×éÖÐÖµ¶¼¼õÈ¥¼ÙÉè¾ùÊý0£¬£¬£¬£¬£¬È»ºó³ýÒÔ×é¾à£¨×é¾àΪ2£©£¬£¬£¬£¬£¬°Ñ¸÷×éµÄ×éÖÐÖµ¼ò»¯Îª×î¼òÆÓµÄ×ÔÈ»Êý£¨²îÊýd£©¡£¡£¡£¡£¡£¡£µÚÆß×é×éÖÐֵΪ121£¬£¬£¬£¬£¬¼ÙÉè¾ùÊýΪ121¡£¡£¡£¡£¡£¡£d=(121-121)=0£¬£¬£¬£¬£¬µÚ°Ë×éd=£¨123-121£©/2=1£¬£¬£¬£¬£¬ÆäÓàÀàÍÆ¡£¡£¡£¡£¡£¡£´Ó±íÖеÄÅÌËãЧ¹û¿ÉÒÔ¿´³ö£¬£¬£¬£¬£¬Ñ¡¶¨Îª¼ÙÉèµÄÒ»×éΪ0£¬£¬£¬£¬£¬±ÈËüСµÄ¸÷×é¶Î˳´ÎΪ-1£¬£¬£¬£¬£¬-2…±ÈËü´óµÄ¸÷×é¶Î˳´ÎΪ1£¬£¬£¬£¬£¬2£¬£¬£¬£¬£¬3£¬£¬£¬£¬£¬…
5ª±Æ¾Ö¤±í3ª²6ª²2ÖеÄÊý¾Ý£¬£¬£¬£¬£¬ÅÌËãµÃ£º

´úÈ빫ʽ£¨3ª²6ª²4£©£¬£¬£¬£¬£¬µÃ£º

¼ò½ÝÒªÁìµÄÅÌËãЧ¹ûÓë¼ÓȨ·¨ÅÌËãЧ¹ûÏàËÆ¡£¡£¡£¡£¡£¡£

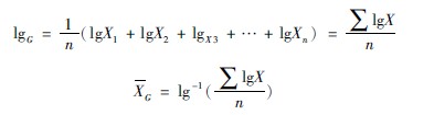
¶þ¡¢¼¸ºÎ¾ùÊý
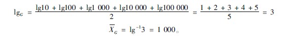
¼¸ºÎ¾ùÊý£¨geometric mean£¬£¬£¬£¬£¬G£©ÓÃÓÚ´¦Öóͷ£Êý¾ÝÖÐÉÙÊýÊýÖµ¹ý´óµÄ×ÊÁÏ£¬£¬£¬£¬£¬»òËüÃÇÖ®¼äÏà²î½Ï´ó£¬£¬£¬£¬£¬»òΪ±¶Êý¹ØÏµ¡£¡£¡£¡£¡£¡£ÆäÖ±½Ó·¨ÅÌË㹫ʽΪ£¨3ª²6ª²4£©£º

GΪ¼¸ºÎ¾ùÊý£¬£¬£¬£¬£¬X1£¬£¬£¬£¬£¬X2…Ϊ¸÷±äÁ¿Öµ£¬£¬£¬£¬£¬nΪ×ÜÆµÊý¡£¡£¡£¡£¡£¡£ÉÏʽ¿ÉÒÔд³É¶ÔÊýÐι«Ê½£¨3ª²6ª²5£©ºÍ¼ÓȨ¹«Ê½£¨3ª²6ª²6£©£º

ʾÀý3ª²6ª²3£º5Àý²¡ÈËѪÇ忹ÌåЧ¼Û»®·ÖΪ1¡Ã10¡¢1¡Ã100¡¢1¡Ã1000¡¢1¡Ã10000¡¢1¡Ã100000£¬£¬£¬£¬£¬ÇóÆäЧ¼Ûƽ¾ùÖµ¡£¡£¡£¡£¡£¡£
¡¾½âÌâ°ì·¨¡¿
½«ÌâÖÐÊý×Ö´úÈ빫ʽ£¨3ª²6ª²5£©£º

´ð£º²¡ÈËѪÇ忹ÌåЧ¼Ûƽ¾ùֵΪ1¡Ã1000¡£¡£¡£¡£¡£¡£
Èý¡¢ ÖÐλÊýÊý·¨
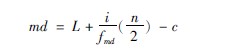
ÖÐλÊý£¨medi£¬£¬£¬£¬£¬M£©Ö¸Ò»×é°´¾ÞϸÐò´ÎÅÅÁеıäÁ¿Öµ£¬£¬£¬£¬£¬ÕýÖÐÐÄËù´¦µÄÊýֵΪÖÐÐÄÊý¡£¡£¡£¡£¡£¡£µ±Ò»×é±äÁ¿ÖµÖУ¬£¬£¬£¬£¬´ó²¿·Ö½ÏÁ¿¼¯ÖУ¬£¬£¬£¬£¬½öÓÐÉÙÊýÆ«ÀëÒ»²àʱ£¬£¬£¬£¬£¬ÒËÓÃÖÐλÊýÌåÏÖËüÃǵļ¯ÖÐÇ÷ÊÆ¡£¡£¡£¡£¡£¡£µ±±äÁ¿ÖµµÄ¸öÊýnÎªÆæÊýʱ£¬£¬£¬£¬£¬ÖÐλÊýËùÔÚλ´ÎΪ£¨n£«1£©/2£»£»£» £»£»µ±nΪżÊýʱ£¬£¬£¬£¬£¬Î»´Î¾ÓÖÐÒÔÁ½¸ö±äÁ¿ÖµµÄƽ¾ùÊý¼´ÎªÖÐλÊý¡£¡£¡£¡£¡£¡£¹«Ê½Îª£¨3ª²6ª²7£©£º

MdΪÖÐλÊý£¬£¬£¬£¬£¬LΪÖÐλÊýËùÔÚ×éµÄÏÂÏÞ£¬£¬£¬£¬£¬iΪÖÐλÊýËùÔÚ×éµÄ×é¾à£¬£¬£¬£¬£¬fmdΪÖÐλÊýËùÔÚ×éµÄƵÊý£¬£¬£¬£¬£¬nΪ×ܶîÊý£¬£¬£¬£¬£¬cΪÖÐλÊýËùÔÚ×éÒÔǰµÄÀÛ¼ÆÆµÊý£¬£¬£¬£¬£¬ÀÛ¼ÆÆµÊýΪÿ×éÀýÊýÓëÆä֮ǰ¸÷×éÀýÊýÖ®ºÍ¡£¡£¡£¡£¡£¡£
ʾÀý3ª²6ª²4±í3ª²6ª²3ÖмͼÁË145ÀýÉÕÉËÐÝ¿ËÆÚ²¡ÈËÉ˺óסԺ½ÓÊÜÖÎÁƵÄʱ¼ä£¨¼û±í3ª²6ª²3£©£¬£¬£¬£¬£¬ÎÊËûÃÇÐÝ¿ËÆÚסԺ½ÓÊÜÖÎÁÆÊ±¼äµÄÖÐλÊýÊǼ¸¶à£¿£¿£¿£¿ £¿£¿£¿

¡¾½âÌâ°ì·¨¡¿
´Ó±í3ª²6ª²3Öп´³ö£¬£¬£¬£¬£¬×ÜÆµÊý145µÄÒ»°ëΪ72ª±5£¬£¬£¬£¬£¬“¡«18h”×éµÄÀÛ¼ÆÆµÊýΪ101£¬£¬£¬£¬£¬´óÓÚ72ª±5£¬£¬£¬£¬£¬Òò´Ë£¬£¬£¬£¬£¬¸Ã×é¾ÍÊÇÖÐλÊýËùÔÚ×é¡£¡£¡£¡£¡£¡£
ƾ֤¹«Ê½£¨3ª²6ª²7£©£¬£¬£¬£¬£¬ÅÌËãÖÐλÊý£º

£¨“¡«18h”×éµÄʱ¼äÏÂÏÞÓ¦´óÓÚ12£¬£¬£¬£¬£¬ÎªÅÌËãÀû±ãѡΪ12£©
´ð£º¸Ã×鲡ÈËÐÝ¿ËÆÚסԺ½ÓÊÜÖÎÁÆÊ±¼äµÄÖÐλÊýÊÇ13ª±5Сʱ¡£¡£¡£¡£¡£¡£

¡¾ÍøÕ¾µØÍ¼¡¿¡¾sitemap¡¿