zoty中欧体育

English zoty中欧体育集团企业邮箱

第二节 各组样本数目不等时的盘算要领

作者:徐荣祥 出书社:中国科学手艺出书社 刊行日期:2009年7月

各组个体数目差别时的F磨练要领与个体相同者基内情似,,,, ,,,只是在盘算组间离均差平方和时应当注重各组的分母不尽相同。。 。。。。。。以例382说明:
示例382测得轻度、中度、重度、特重度烧伤病人的红细胞饱和指数(SI,,,, ,,,正常值为09~11)纪录于下(表388),,,, ,,,问四种水平的烧伤病人红细胞饱和指数(SI)有无显著差别??? ????

【解题办法】:
第一:对上述均数举行F磨练:
1盘算校正数:凭证上述相关公式盘算,,,, ,,,下同。。 。。。。。。

2求离均差平方和:凭证上述相关公式盘算,,,, ,,,应首先求出总变异、组间变异和组内变异这三个数值:

3盘算自由度:总变异的自由度为n-1=28-1=27;;; ;;;;;
组间变异的自由度为n-1,,,, ,,,本题为4组,,,, ,,,即4-1=3 ;;; ;;;;;
组内变异的自由度为n(ki-1),,,, ,,,本题为4(7-1)=24。。 。。。。。。
4列变异数剖析表(表389):

5效果判断F婢例自由度n1为3,,,, ,,,n2为24,,,, ,,,查F表:F005=301,,,, ,,,F001=472,,,, ,,,本例F=356,,,, ,,,大于F005=301,,,, ,,,但小于F001=472,,,, ,,,即005>P>001。。 。。。。。。
(5)结论:四组病人的RBC饱和指数均值之间有显著性差别。。 。。。。。。
第二:Q值磨练:
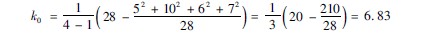
1盘算各组平均例数:由于各组例数不相同,,,, ,,,在各平均数举行较量时,,,, ,,,应首先盘算各组的平均例数。。 。。。。。。其公式为:

本例:α=4,,,, ,,,k1=5,,,, ,,,k2=10,,,, ,,,k3=6,,,, ,,,k4=7,,,, ,,,代入公式:

2列出每两均数相互较量表:见表3810

3盘算标准误:凭证公式(387)盘算,,,, ,,,效果:

4确定各组均数相差显著时所需Q值:效果见表3811。。 。。。。。。

将所盘算的(Q24×sx)效果填入表3811中,,,, ,,,②、③、④栏响应数字的下方(括号内数字)。。 。。。。。。
5效果判断:从表3811中看出,,,, ,,,只有四组和一组均数之差大于Q×sx值,,,, ,,,故以为一组与四组(即轻度与特重度)相差显著,,,, ,,,其余各组相差不显著。。 。。。。。。

 

 

【网站地图】【sitemap】