zotyÖÐÅ·ÌåÓý

English zotyÖÐÅ·ÌåÓý¼¯ÍÅÆóÒµÓÊÏä

µÚ¶þ½Ú Ñù±¾¾ùÊýÓë×ÜÌå¾ùÊýµÄtÄ¥Á·

×÷ÕߣºÐìÈÙÏé ³öÊéÉ磺Öйú¿ÆÑ§ÊÖÒÕ³öÊéÉç ¿¯ÐÐÈÕÆÚ£º2009Äê7ÔÂ

ÔÚÁÙ´²Óë¿ÆÑÐÊÂÇéÖУ¬£¬£¬£¬£¬£¬£¬¾­³£Óöµ½Á½¸öÑù±¾¾ùÊýµÄ½ÏÁ¿ÎÊÌ⣬£¬£¬£¬£¬£¬£¬ÀýÈ磬£¬£¬£¬£¬£¬£¬²¡ÈËÓ뿵½¡È˺ìϸ°ûƽ¾ùÊýµÄ½ÏÁ¿£¬£¬£¬£¬£¬£¬£¬Í¬ÖÖ²¡ÈËÖÎÁÆÇ°ºóѪѹƽ¾ùÊýµÄ½ÏÁ¿µÈ¡£¡£ ¡£¡£¡£¡£Á½¸ö¾ùÊýÖ®¼ä×ÜÊÇÓвî±ðµÄ£¬£¬£¬£¬£¬£¬£¬ÍêȫһÑùµÄÇéÐκÜÉÙ£¬£¬£¬£¬£¬£¬£¬ÎÊÌâÊÇÎÒÃÇÓ¦ÖªµÀÕâÖÖ²î±ðÓÐÎÞÒâÒ壬£¬£¬£¬£¬£¬£¬tÄ¥Á·»òuÄ¥Á·¾ÍÊÇȨºâÕâÖÖ²î±ðÓÐÎÞÒâÒåµÄÖ÷ÒªÒªÁì¡£¡£ ¡£¡£¡£¡£»£»£»£»£»£»£»£»òÕß˵tÄ¥Á·ÊÇÆ¾Ö¤tÂþÑܵļÍÂÉÀ´¾ÙÐеÄÁ½¸ö¾ùÊý²î±ðµÄÏÔÖøÐÔÄ¥Á·£¬£¬£¬£¬£¬£¬£¬ÊÇÖ¸Ñù±¾¾ùÊýÓë×ÜÌå¾ùÊýµÄ²îÊý(-u)Ï൱ÓÚ±ê×¼Îó(sx)µÄ¼¸¶à±¶¡£¡£ ¡£¡£¡£¡£Æä¹«Ê½Îª£º

ƾ֤´ó×ÚÊÓ²ìЧ¹û£¬£¬£¬£¬£¬£¬£¬»òÒÔÍù¶à´ÎʵÑéЧ¹û»òÂÄÀú£¬£¬£¬£¬£¬£¬£¬¿É½«ÒÑ֪ijÊÂÎïµÄ¾ùÊý(ÈçÐÄÀíÕý³£Öµ)×÷Ϊ×ÜÌå¾ùÊý¿´´ý¡£¡£ ¡£¡£¡£¡£´Ëʱ¿ÉÓÃÏÂÊöÒªÁìÀ´Ä¥Á·Ñù±¾¾ùÊýÓë×ÜÌå¾ùÊý²î±ðµÄÏÔÖøÐÔ¡£¡£ ¡£¡£¡£¡£ÏÖÒÔÏÂÀý˵Ã÷£º
ʾÀý3ª²7ª²3ÒÑÖªÕý³£³ÉÄêÈ˵ÄÂö²«Æ½¾ùÊýΪ72´Î/·Ö£¬£¬£¬£¬£¬£¬£¬ÏÖijҽÉú²âµÃ10Àý´óÃæ»ýÉÕÉË»¼ÕßÔçÆÚµÄÂö²«Æ½¾ùΪ100´Î/·Ö£¬£¬£¬£¬£¬£¬£¬±ê×¼²îΪ15ª±97´Î/·Ö£¬£¬£¬£¬£¬£¬£¬ÎÊ´óÃæ»ý³ÉÄêÉÕÉË»¼ÕßÔçÆÚµÄƽ¾ùÂö²«ÓëÕý³£³ÉÈËÂö²«¾ùÊýÓÐÎÞÏÔÖøÐÔ²î±ð£¿£¿£¿£¿£¿£¿£¿£¿
¡¾Ä¥Á·°ì·¨¡¿
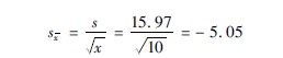
1ª±ÏÈÆ¾Ö¤±ê×¼Îó¹«Ê½£¨3ª²6ª²13£©ÅÌËã10Àý²¡ÈËÂö²«µÄ±ê×¼Îó£º

2ª±´úÈ빫ʽ£¨3ª²7ª²3£©£¬£¬£¬£¬£¬£¬£¬µÃ£º

3ª±Æ¾Ö¤×ÔÓɶȾÞϸ£¡£ ¡£¡£¡£¡£¬£¬£¬£¬£¬£¬£¬²étÖµ±í(±¾Õ¸½±í3ª²7ª²1)£ºn′=n-1=10-1=9£¬£¬£¬£¬£¬£¬£¬²éµÃtÖµµÄ0ª±05½çֵΪ2ª±262£¬£¬£¬£¬£¬£¬£¬tÖµµÄ0ª±01½çֵΪ3ª±250£¬£¬£¬£¬£¬£¬£¬ÏÖËãµÃtֵΪ5ª±545£¬£¬£¬£¬£¬£¬£¬¼È´óÓÚ2ª±262£¬£¬£¬£¬£¬£¬£¬Ò²´óÓÚ3ª±250£¬£¬£¬£¬£¬£¬£¬¹Êt£¾t0ª±05£¾t0ª±01£¬£¬£¬£¬£¬£¬£¬ËüµÄ¸ÅÂÊ(P)ÔÚt0ª±01Ö®ÉÏ£¬£¬£¬£¬£¬£¬£¬¹ÊP£¼0ª±01£¬£¬£¬£¬£¬£¬£¬Ïà²îºÜÊÇÏÔÖø¡£¡£ ¡£¡£¡£¡£
4ª±ÅжϣºËµÃ÷´óÃæ»ý³ÉÈËÉÕÉË»¼Õߵį½¾ùÂö²«ÓëÕý³£³ÉÈËÆ½¾ùÂö²«ÓÐ×ÅʵÖʵÄÇø±ð£¬£¬£¬£¬£¬£¬£¬ÔÚͳ¼ÆÉÏÓкÜÊÇÏÔÖøÒâÒå¡£¡£ ¡£¡£¡£¡£

¡¾ÍøÕ¾µØÍ¼¡¿¡¾sitemap¡¿