zotyÖÐÅ·ÌåÓý

English zotyÖÐÅ·ÌåÓý¼¯ÍÅÆóÒµÓÊÏä

µÚ¶þ½Ú ¼ÆÊý×ÊÁϵÄÏÔÖøÐÔÄ¥Á·

×÷ÕߣºÐìÈÙÏé ³öÊéÉ磺Öйú¿ÆÑ§ÊÖÒÕ³öÊéÉç ¿¯ÐÐÈÕÆÚ£º2009Äê7ÔÂ

¹ØÓÚ¼ÆÊý×ÊÁÏÕâЩÏà¶ÔÊýÎÒÃÇÖ»ÖªËüÃÇµÄÆéá«£¬£¬£¬£¬£¬ £¬£¬£¬²»ÖªÆäÓÐÎÞͳ¼ÆÑ§ÒâÒ壬£¬£¬£¬£¬ £¬£¬£¬Ö»ÓÐͨ¹ýÏà¶ÔÊýµÄÏÔÖøÐÔÄ¥Á··½ÄÜÃ÷È· ¡£¡£¡£¡£¡£¡£³£ÓÃÒªÁìΪUÄ¥Á·Óëχ2Ä¥Á· ¡£¡£¡£¡£¡£¡£
Ò»¡¢ÂʵÄuÄ¥Á·
ÂʵÄuÄ¥Á·ÊÇÓ¦ÓùæÄ£½ÏΪ¹ãµÄÒ»ÖÖÏÔÖøÐÔÄ¥Á·ÒªÁ죬£¬£¬£¬£¬ £¬£¬£¬¿ÉÊÇÔÚÓÃÓÚÑù±¾ÂÊÓë×ÜÌåÂʽÏÁ¿Ê±£¬£¬£¬£¬£¬ £¬£¬£¬»òÁ½¸öÑù±¾ÂʽÏÁ¿Ê±£¬£¬£¬£¬£¬ £¬£¬£¬Ó¦µ±Ë¼Á¿Æä²î±ðÊÇ·ñÓÉÓÚ³éÑùÎó²îËùÔì³ÉµÄ ¡£¡£¡£¡£¡£¡£´óÑù±¾µÄÑù±¾ÂÊÂþÑܽüËÆÕý̬ÂþÑÜ£¬£¬£¬£¬£¬ £¬£¬£¬¿ÉÓÃÕý̬ÂþÑܵļÍÂÉÄ¥Á·Ñù±¾ÂÊÓë×ÜÌåÂÊ»òÁ½¸öÑù±¾Âʲî±ðµÄÏÔÖøÐÔ ¡£¡£¡£¡£¡£¡£ÆäÅжϱê׼Ϊ£º

£¨Ò»£©Ñù±¾ÂÊÓë×ÜÌåÂʵĽÏÁ¿
Ñù±¾ÂÊÓë×ÜÌåÂʽÏÁ¿µÄÄ¿µÄÊÇÍÆ¶Ï¸ÃÑù±¾Ëù´ú±íµÄ×ÜÌåÂÊÓëÒÑÖª×ÜÌåÂÊÊÇ·ñÏàͬ ¡£¡£¡£¡£¡£¡£¹«Ê½Îª£º

pΪÑù±¾ÂÊ£¬£¬£¬£¬£¬ £¬£¬£¬πΪ×ÜÌåÂÊ£¬£¬£¬£¬£¬ £¬£¬£¬σPΪÂʵıê×¼Î󣬣¬£¬£¬£¬ £¬£¬£¬ÓÉ×ÜÌåÅÌËãµÃ³ö
ʾÀý3ª²4ª²3ƾ֤ÁÙ´²ÂÄÀú£¬£¬£¬£¬£¬ £¬£¬£¬Î¸Ê®¶þÖ¸³¦À£Ññ»¼ÕßÖУ¬£¬£¬£¬£¬ £¬£¬£¬Ò»Ñùƽ³£ÇéÐÎÏÂÓÐ20%µÄ²¡È˻ᱬ·¢Î¸³öѪ֢״£¬£¬£¬£¬£¬ £¬£¬£¬ÏÖijҽԺÊÓ²ìÉÕÉ˲¡ÈË152Àý£¬£¬£¬£¬£¬ £¬£¬£¬ÆäÖÐ48ÀýÉËǰÓйýθ³öѪ²¡Ê·£¬£¬£¬£¬£¬ £¬£¬£¬ÎÊÉËǰ»¼ÓÐθʮ¶þÖ¸³¦À£ÑñµÄÉÕÉ˲¡ÈËÊÇ·ñÈÝÒ×±¬·¢Î¸³öѪ£¿£¿£¿£¿£¿
¡¾½âÌâ°ì·¨¡¿
¿É½«¸ÃÀýÖÐθʮ¶þÖ¸³¦À£Ññ»¼ÕßÓÐ20%±¬·¢Î¸³öѪÂÊÊÓΪ×ÜÌåÂÊπ£¨ÊǰÑÈËÃǹ«ÈÏ»òÂÄÀúÊýÖµ×÷Ϊ×ÜÌåÂÊ£© ¡£¡£¡£¡£¡£¡£
1ª±½¨ÉèÄ¥Á·¼ÙÉ裺¼ÙÉ軼ÓÐθʮ¶þÖ¸³¦À£Ññ²¡µÄÉÕÉ˲¡ÈËθ³öѪÂÊ£¨p£©ÓëÒ»Ñùƽ³£Î¸Ê®¶þÖ¸³¦À£Ññ»¼ÕߵijöѪÂÊ£¨π£©ÎÞ²î±ð£¬£¬£¬£¬£¬ £¬£¬£¬¼´Ñù±¾ÂÊ£¨P£©ÊÇÓÉ×ÜÌåÂÊ£¨π£©ÖÐËæ»ú³éÈ¡µÄ£¬£¬£¬£¬£¬ £¬£¬£¬Á½ÕßÎÞ²î±ð ¡£¡£¡£¡£¡£¡£ÊÂʵÉÏ£¬£¬£¬£¬£¬ £¬£¬£¬ÊµÑéÑо¿Ð§¹û×ÜÊÇÓÐÁ½ÖÖÇéÐΣºÒ»ÖÖÊǽÓÊÜËù½¨ÉèµÄÄ¥Á·¼ÙÉ裬£¬£¬£¬£¬ £¬£¬£¬Ò»ÖÖÊǾܾø½¨ÉèµÄÄ¥Á·¼ÙÉè ¡£¡£¡£¡£¡£¡£
¢ÙÉèǰÕßΪH0£ºπ=π0£»£»£»£»£»£»¢ÚÉèºóÕßΪH1£ºπ≠π0 ¡£¡£¡£¡£¡£¡£
2ª±È·Á¢ÏÔÖøÐÔË®×¼£ºα=0ª±05
3ª±ÅÌËãuÖµ£º½«Ê¾Àý3ª²4ª²3ÖÐÊý¾Ý´úÈ빫ʽ£¨3ª²4ª²6£©£º

4ª±È·¶¨PÖµ£ºÓÉÓÚu=3ª±58£¬£¬£¬£¬£¬ £¬£¬£¬¶ø3ª±58£¾2ª±58£¬£¬£¬£¬£¬ £¬£¬£¬¹ÊP£¼0ª±01 ¡£¡£¡£¡£¡£¡£
5ª±ÍƶϽáÂÛ£ºÔÚα=0ª±05Ë®×¼ÉÏ£¬£¬£¬£¬£¬ £¬£¬£¬¾Ü¾øH0£¬£¬£¬£¬£¬ £¬£¬£¬½ÓÊÜH1£¬£¬£¬£¬£¬ £¬£¬£¬ÒòP£¼0ª±01£¬£¬£¬£¬£¬ £¬£¬£¬ÒÔÊÇÓкÜÊÇÏÔÖøÐÔ²î±ð£¬£¬£¬£¬£¬ £¬£¬£¬ÉËǰ»¼ÓÐθʮ¶þÖ¸³¦À£ÑñµÄÉÕÉ˲¡ÈË£¬£¬£¬£¬£¬ £¬£¬£¬Æäθ³öѪÂÊÓëÒ»Ñùƽ³£Î¸Ê®¶þÖ¸³¦À£Ññ»¼ÕߵijöѪÂÊÓÐʵÖʲî±ð£¬£¬£¬£¬£¬ £¬£¬£¬¿ÉÒÔΪ»¼Î¸Ê®¶þÖ¸³¦À£ÑñµÄÉÕÉ˲¡È˽ÏÒ»Ñùƽ³£Î¸À£Ññ»¼ÕßÈÝÒ×±¬·¢Î¸³öѪ ¡£¡£¡£¡£¡£¡£
£¨¶þ£©Á½¸öÑù±¾ÂʽÏÁ¿µÄUÄ¥Á·
Á½¸öÑù±¾ÂʽÏÁ¿µÄÄ¿µÄÊÇÍÆ¶ÏÁ½¸öÑù±¾¸÷×Ô´ú±íµÄÁ½¸ö×ÜÌåÂÊÊÇ·ñÏàͬ ¡£¡£¡£¡£¡£¡£³£ÓÃUÄ¥Á·ºÍχ2Ä¥Á·£º
UÄ¥Á·ÅÌË㹫ʽ£º

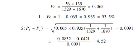
ʾÀý3ª²4ª²4ÈçijҽԺ¶Ô1 329ÀýÉÕÉ˲¡È˾ÙÐÐÓ¦¼¤ÐÔÀ£Ññ³öѪµÄÔ¤·ÀÐÔÖÎÁÆ£¬£¬£¬£¬£¬ £¬£¬£¬ÓÐ56Àý±¬·¢ÁËθ³öѪ£¬£¬£¬£¬£¬ £¬£¬£¬·¢²¡ÂÊΪ4ª±21%£¬£¬£¬£¬£¬ £¬£¬£¬1 670ÀýÉËÇéÏàËÆµÄ²¡ÈËδ¾ÙÐÐÔ¤·ÀÐÔÖÎÁÆ£¬£¬£¬£¬£¬ £¬£¬£¬Æä³öѪÂÊ´ï8ª±32%£¬£¬£¬£¬£¬ £¬£¬£¬ÎÊÁ½×éÑù±¾Ó¦¼¤ÐÔÀ£Ññ³öѪµÄ·¢²¡ÂÊÓÐÎÞ²î±ð£¿£¿£¿£¿£¿
¡¾½âÌâ°ì·¨¡¿
1ª±½¨ÉèÄ¥Á·¼ÙÉ裺H0£ºπ1=π2£¬£¬£¬£¬£¬ £¬£¬£¬H1£ºπ1≠π2 ¡£¡£¡£¡£¡£¡£
2ª±È·¶¨ÏÔÖøÐÔˮƽ£ºα=0ª±05 ¡£¡£¡£¡£¡£¡£
3ª±ÅÌËãuÖµ£ºn1=1329£¬£¬£¬£¬£¬ £¬£¬£¬X1=56£¬£¬£¬£¬£¬ £¬£¬£¬P1=0ª±0421£¨56/1329£©£¬£¬£¬£¬£¬ £¬£¬£¬n2=1670£¬£¬£¬£¬£¬ £¬£¬£¬X2=139£¬£¬£¬£¬£¬ £¬£¬£¬P2=0ª±0823£¨139/1670£© ¡£¡£¡£¡£¡£¡£
´úÈ빫ʽ£¨3ª²4ª²9£©¡¢£¨3ª²4ª²10£©¡¢£¨3ª²4ª²7£©£º

4ª±È·¶¨PÖµ£ºÒò4ª±25£¾2ª±58£¬£¬£¬£¬£¬ £¬£¬£¬¹ÊP£¼0ª±01 ¡£¡£¡£¡£¡£¡£
5ª±ÍƶϽáÂÛ£ºÔÚα=0ª±05µÄË®×¼ÉÏ£¬£¬£¬£¬£¬ £¬£¬£¬¾Ü¾øH0£¬£¬£¬£¬£¬ £¬£¬£¬½ÓÊÜH1 ¡£¡£¡£¡£¡£¡£ÒòP£¼0ª±01£¬£¬£¬£¬£¬ £¬£¬£¬²î±ðÓи߶ÈÏÔÖøÐÔ£¬£¬£¬£¬£¬ £¬£¬£¬¹ÊÒÔΪԤ·ÀÐÔÖÎÁÆ×éÓë±ÈÕÕ×éµÄÓ¦¼¤ÐÔÀ£Ññ³öѪÂÊÓÐʵÖʲî±ð£¬£¬£¬£¬£¬ £¬£¬£¬Ô¤·À×éÓ¦¼¤ÐÔÀ£Ññ³öѪ±¬·¢ÂʵÍÓÚ±ÈÕÕ×飬£¬£¬£¬£¬ £¬£¬£¬Ô¤·ÀÖÎÁÆÓÐÓà ¡£¡£¡£¡£¡£¡£
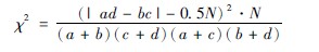
¶þ¡¢χ2Ä¥Á·
χ2Ä¥Á·ÊÇÓ¢¹úͳ¼ÆÑ§¼ÒKª±pearsonÌá³öµÄ£¬£¬£¬£¬£¬ £¬£¬£¬ºó¾­YatesУÕýˢУ¬£¬£¬£¬£¬ £¬£¬£¬ÏÖÒѳÉΪרÓÃÓÚÁ½×é°Ù·ÖÂʵij£ÓÃÏÔÖøÐÔÄ¥Á·¹«Ê½ ¡£¡£¡£¡£¡£¡£“χ”ΪϣÀ°×Öĸ£¬£¬£¬£¬£¬ £¬£¬£¬¶ÁÒôΪ“Kai”£¬£¬£¬£¬£¬ £¬£¬£¬¹Êχ2Ä¥Á··¨ÓֳƓ¿¨ÒªÁì” ¡£¡£¡£¡£¡£¡£Ó¦ÓùæÄ£ÓëUÄ¥Á·²»ÍêÈ«Ïàͬ£¬£¬£¬£¬£¬ £¬£¬£¬Ç°ÕßÖ÷ÒªÕë¶ÔÑù±¾ÂÊÓë×ÜÌåÂʾÙÐнÏÁ¿£¬£¬£¬£¬£¬ £¬£¬£¬Ò²¿ÉÓÃÓÚÁ½¸öÑù±¾ÂʵĽÏÁ¿£»£»£»£»£»£»¶øχ2Ä¥Á·Ö÷ÒªÓÃÓÚÍÆ¶ÏÁ½¸ö¼°Á½¸öÒÔÉÏ×ÜÌåÂÊ£¨»ò×é³É±È£©Ö®¼äµÄÄ¥Á·£¬£¬£¬£¬£¬ £¬£¬£¬¼ì²éÁ½¸ö·ÖÀà±äÁ¿Ö®¼äÓÐÎÞ¹ØÏµ£¨»ò¹ØÁª£© ¡£¡£¡£¡£¡£¡£
£¨Ò»£©χ2Ä¥Á·»ù±¾¹«Ê½ÓëÅÌËãÒªÁì
χ2Ä¥Á·µÄ»ù±¾¹«Ê½£º

AΪÏÖʵÊÓ²ìÊý£¬£¬£¬£¬£¬ £¬£¬£¬TΪÀíÂÛÅÌËãÖµ£¬£¬£¬£¬£¬ £¬£¬£¬ ∑£¨Ï£À°×Öĸ£¬£¬£¬£¬£¬ £¬£¬£¬¶ÁÒôSigma£©ÌåÏÖ×ÜºÍ ¡£¡£¡£¡£¡£¡£¾ÙÀýÚ¹ÊÍÆäÒªÁì¼°Ô­Àí ¡£¡£¡£¡£¡£¡£
ʾÀý3ª²4ª²5ijҽԺ¶ÔÒÑÍùÖÎÁƵÄÉÕÉ˲¢·¢°ÜѪ֢µÄ²¡Àý¾ÙÐлØÊ×ÐÔ×ܽᣬ£¬£¬£¬£¬ £¬£¬£¬205Àý´óÃæ»ýÉÕÉ˲¡È˲¢·¢°ÜѪ֢µÄÀýÊýΪ43£¬£¬£¬£¬£¬ £¬£¬£¬¶ø134ÀýÖеÈÉÕÉËÃæ»ý²¡È˲¢·¢°ÜѪ֢µÄÀýÊýΪ13£¬£¬£¬£¬£¬ £¬£¬£¬ÎʰÜѪ֢µÄ±¬·¢ÓëÉÕÉËÃæ»ýÓÐÎÞ¹ØÏµ£¿£¿£¿£¿£¿
¡¾½âÌâ°ì·¨¡¿
1ª±½«ÊÓ²ì×ÊÁÏÁÐÈë±í£¨±í3ª²4ª²2£©ÖУº

2ª±½¨Éè“Ä¥Á·¼ÙÉ蔣¨ÎÞЧ¼ÙÉ裩£¬£¬£¬£¬£¬ £¬£¬£¬¼´ÈôÊÇ´óÃæ»ýÓëÖеÈÃæ»ýÉÕÉË×éµÄ°ÜѪ֢±¬·¢ÂÊÖ®¼äûÓÐʵÖʲî±ð£¬£¬£¬£¬£¬ £¬£¬£¬ËµÃ÷°ÜѪ֢µÄ±¬·¢ÂÊ£¨21%ºÍ9ª±7%£©À´×Ôͳһ×ÜÌ壬£¬£¬£¬£¬ £¬£¬£¬ÕâÖÖ²î±ðÊÇÓɳéÑùÎó²îÔì³ÉµÄ ¡£¡£¡£¡£¡£¡£Æ¾Ö¤Õâ¸ö¼ÙÉ裬£¬£¬£¬£¬ £¬£¬£¬¿ÉÒÔÓÃÁ½¸ö×éµÄºÏ¼Æ·¢²¡ÂÊ£¨16ª±5%£©Îª¼ÙÉèµÄÀíÂÛ×ÜÌ壬£¬£¬£¬£¬ £¬£¬£¬²¢ÒÔ´Ë×÷ΪÅÌËãÖµµÄÀíÂÛ»ù´¡ ¡£¡£¡£¡£¡£¡£
3ª±ÅÌËã¸÷×éµÄÀíÂÛÊýTÖµ£ºÀíÂÛÊýÖµÊÇÆ¾Ö¤Ä¥Á·¼ÙÉèÍÆÂÛµÄÁ½×鲡ÈËÊýÖÐÓ¦Óеı¬·¢°ÜѪ֢ÈËÊý£¬£¬£¬£¬£¬ £¬£¬£¬¼´Á½×é¶¼°´16ª±5%»¼²¡ÂÊÅÌË㣬£¬£¬£¬£¬ £¬£¬£¬Ó¦µ±Óм¸¶àÈË»¼²¡Óë²»»¼²¡ ¡£¡£¡£¡£¡£¡£´óÃæ»ýÉÕÉË×é205ÈË£¬£¬£¬£¬£¬ £¬£¬£¬³ËÒԺϼƻ¼²¡ÂÊ16ª±5%£¬£¬£¬£¬£¬ £¬£¬£¬¼´ÊÇ´óÃæ»ýÉÕÉË×éÀíÂÛÉÏÓ¦µ±±¬·¢°ÜѪ֢µÄÈËÊý£¨205×16ª±5%=33ª±83£©£¬£¬£¬£¬£¬ £¬£¬£¬¼´ÎªÀíÂÛÖµ£»£»£»£»£»£»¶øÎ´±¬·¢°ÜѪ֢µÄÈËÊýΪ£¨205-33ª±83=171ª±17£©171ª±17 ¡£¡£¡£¡£¡£¡£Í¬Àí£¬£¬£¬£¬£¬ £¬£¬£¬ÔÙÇó³öÖеÈÉÕÉËÃæ»ý×鲡È˵ÄÀíÂÛֵΪ22ª±11£¬£¬£¬£¬£¬ £¬£¬£¬²»±¬·¢°ÜѪ֢µÄÀíÂÛֵΪ£¨134-22ª±11=111ª±89£©111ª±89 ¡£¡£¡£¡£¡£¡£
½«ÅÌËãµÄÀíÂÛÖµ»ãÈë±í3ª²4ª²3ÖÐ ¡£¡£¡£¡£¡£¡£

4ª±´úÈëχ2Öµ¹«Ê½£¨3ª²4ª²11£©ÅÌËãχ2Öµ£º

χ2ÖµÎÞµ¥Î»£¬£¬£¬£¬£¬ £¬£¬£¬ÓëËüÏìÓ¦µÄ¸ÅÂÊΪ5%µÄχ2Öµ£¨χ2 0ª±05£©ºÍ¸ÅÂÊΪ1%µÄχ2Öµ£¨χ20ª±01£©£¬£¬£¬£¬£¬ £¬£¬£¬¿ÉÓÉ¿¨·½¼òÃ÷½çÖµ±í3ª²4ª²4Öвé³ö ¡£¡£¡£¡£¡£¡£
ÈôÊÇÉÏÊöÄ¥Á·×¼È·£¬£¬£¬£¬£¬ £¬£¬£¬A-T²îÖµ²»»á̫С£¬£¬£¬£¬£¬ £¬£¬£¬ÈçA-TÏà²îÌ«´ó£¬£¬£¬£¬£¬ £¬£¬£¬Ä¥Á·¼ÙÉ轨ÉèµÄ¿ÉÄÜÐԾͲ»´ó ¡£¡£¡£¡£¡£¡£
5ª±Æ¾Ö¤χ2ÖµÓë×ÔÓɶȲéχ2Öµ±í£ºÊ×ÏÈÈ·¶¨×ÔÓɶȣ¨df»òn′»òr£¬£¬£¬£¬£¬ £¬£¬£¬£©£¬£¬£¬£¬£¬ £¬£¬£¬ÒòËĸñ±íÖÐÓÐËĸöÀíÂÛÖµ£¬£¬£¬£¬£¬ £¬£¬£¬Ö»ÒªÏÈÓó˳ý·¨Çó³öÈκÎÒ»¸ö£¬£¬£¬£¬£¬ £¬£¬£¬ÆäÓàÈý¸ö¿ÉÓüõ·¨Çó³ö ¡£¡£¡£¡£¡£¡£ÕâÖÖ±ØÐèÏÈÓó˳ý·¨Çó³öÀíÂÛÖµµÄ¸ñ×ÓÊý½Ð×ÔÓÉ¶È ¡£¡£¡£¡£¡£¡£ÅÌËãÒªÁ죺
n′=£¨ÐÐÊý-1£©£¨ÁÐÊý-1£©£¬£¬£¬£¬£¬ £¬£¬£¬Ëĸñ±íÖÐΪÁ½ÐС¢Á½ÁУ¬£¬£¬£¬£¬ £¬£¬£¬¹Ê£º
n′=£¨2-1£©£¨2-1£©=1 ¡£¡£¡£¡£¡£¡£
²é¼òÃ÷χ2Öµ±í£¨±í3ª²4ª²4£¬£¬£¬£¬£¬ £¬£¬£¬»ò²éÓйØÊé¼®¿¨·½½çÖµ±í£©£ºµ±n′=1ʱ£¬£¬£¬£¬£¬ £¬£¬£¬χ20ª±05=6ª±63£¬£¬£¬£¬£¬ £¬£¬£¬±¾Àýχ2=7ª±47£¬£¬£¬£¬£¬ £¬£¬£¬´óÓÚ6ª±63£¬£¬£¬£¬£¬ £¬£¬£¬ÒÑÁè¼Ýχ20ª±05=6ª±63ˮƽ£¬£¬£¬£¬£¬ £¬£¬£¬µ«Ð¡ÓÚχ20ª±005=7ª±88ˮƽ£¬£¬£¬£¬£¬ £¬£¬£¬¹ÊP£¼0ª±01 ¡£¡£¡£¡£¡£¡£

£¨¶þ£©Ëĸñ±í×ÊÁϵÄχ2Ä¥Á·£¨Á½¸öÑù±¾ÂʵĽÏÁ¿£©
Ëĸñ±í×ÊÁϵÄχ2Ä¥Á··¨ÊÇÓ¦ÓÃ×îΪÆÕ±éºÍ×îΪÀû±ãµÄÒ»ÖÖÒªÁ죬£¬£¬£¬£¬ £¬£¬£¬ËüËùÄ¥Á·µÄ½öÊÇÁ½¸öÂʵĽÏÁ¿ ¡£¡£¡£¡£¡£¡£»£»£»£»£»£»ù±¾Ä£Ê½Í¼¡¢¹«Ê½ºÍЧ¹ûÅжϱê×¼ÈçÏ£º

4ª±ÅÌËã°ì·¨£º
£¨1£©ÏȽ«ÎÊÌâÖеÄÊý¾Ý°´Ëĸñ±íģʽͼÐÎÊ½ÖÆ±íÅÅÁУ¨ÓÃÏÖʵÊý×Ö£¬£¬£¬£¬£¬ £¬£¬£¬²»±Ø°Ù·ÖÂÊ£© ¡£¡£¡£¡£¡£¡£
£¨2£©´úÈ빫ʽ(3ª²4ª²12)£¬£¬£¬£¬£¬ £¬£¬£¬ÅÌËãχ2Öµ£¬£¬£¬£¬£¬ £¬£¬£¬χ2ÖµÊÇͳ¼ÆÖµ£¬£¬£¬£¬£¬ £¬£¬£¬ÊýÖµÔ½´óͳ¼ÆÒâÒåÔ½´ó ¡£¡£¡£¡£¡£¡£
£¨3£©Æ¾Ö¤χ2ÖµµÄ¾Þϸ£¬£¬£¬£¬£¬ £¬£¬£¬°´PÖµÅжϱê׼ȷ¶¨PÖµ¾Þϸ ¡£¡£¡£¡£¡£¡£
£¨4£©×ö³öͳ¼Æ½áÂÛ ¡£¡£¡£¡£¡£¡£
ʾÀý3ª²4ª²6Óü׷¨ÖÎÁÆ´óÃæ»ýÉÕÉË£¨¼××飩71Àý£¬£¬£¬£¬£¬ £¬£¬£¬ÓÐ52Àý²¢·¢È«ÉíÐÔѬȾ£¬£¬£¬£¬£¬ £¬£¬£¬ÓÃÒÒ·¨ÖÎÁƵĴóÃæ»ýÉÕÉË£¨ÒÒ×飩42Àý£¬£¬£¬£¬£¬ £¬£¬£¬ÓÐ3Àý²¢·¢È«ÉíÐÔѬȾ ¡£¡£¡£¡£¡£¡£ÎÊÁ½×éѬȾ±¬·¢ÂÊÓÐÎÞͳ¼ÆÑ§²î±ð£¿£¿£¿£¿£¿
¡¾½âÌâ°ì·¨¡¿
1ª±°´Ëĸñ±íÄ£Ê½ÖØÐÂÖÆ±í£¨±í3ª²4ª²7£©£º

2ª±ÅÌËãχ2Öµ(¹«Ê½3ª²4ª²2)£º

3ª±ÅÌËã×ÔÓɶȣºÓÉÓÚ×ÔÓɶȣ¨n′£©=1{£¨ÐÐ-1£©£¨ÁÐ-1£©=£¨2-1£©£¨2-1£©}£¬£¬£¬£¬£¬ £¬£¬£¬¹Ê±¾Ñо¿×ÔÓɶÈΪ1£¨1×1£© ¡£¡£¡£¡£¡£¡£
4ª±°´±í3ª²4ª²4±ê׼ȷ¶¨PÖµ£ºÒòχ2ÖµÔÚ3ª±84ºÍ6ª±63Ö®¼ä£¬£¬£¬£¬£¬ £¬£¬£¬¹ÊP£¼0ª±05£¬£¬£¬£¬£¬ £¬£¬£¬×é¼äÓÐÏÔÖøÐÔ²î±ð ¡£¡£¡£¡£¡£¡£
5ª±Ð§¹ûÅжϣºÒòP£¼0ª±05£¬£¬£¬£¬£¬ £¬£¬£¬ËµÃ÷ÒÒ·¨ÖÎÁƵĴóÃæ»ýÉÕÉ˲¡È˲¢·¢È«ÉíÐÔѬȾµÄʱ»úµÍÓÚ¼××é ¡£¡£¡£¡£¡£¡£
£¨Èý£©ÐÐ×Áбí×ÊÁϵÄχ2Ä¥Á·
ÒÔÉϽ²µÄÊÇÁ½¸öÑù±¾ÂʵÄÄ¥Á·£¬£¬£¬£¬£¬ £¬£¬£¬ÓÃËĸñ±í·¨£¬£¬£¬£¬£¬ £¬£¬£¬µ«µ±ÐÐÊý»òÁÐÊý´óÓÚ2ʱ£¬£¬£¬£¬£¬ £¬£¬£¬Ó¦µ±ÓÃÐÐ×Áбí×ÊÁϵÄχ2Ä¥Á·£¬£¬£¬£¬£¬ £¬£¬£¬ÓÖ³ÆR×C±í×ÊÁÏ ¡£¡£¡£¡£¡£¡£»£»£»£»£»£»ù±¾¹«Ê½£º

AΪ¸÷¸ñ×ÓµÄÏÖʵƵÊý£¬£¬£¬£¬£¬ £¬£¬£¬nR¡¢nCΪ¸÷ÏÖʵƵÊýËù¶ÔÓ¦µÄÐеĺϼÆÊýºÍÁеĺϼÆÊý£¬£¬£¬£¬£¬ £¬£¬£¬NΪ×ܺϼÆÊý ¡£¡£¡£¡£¡£¡£
¸Ã¹«Ê½ÊÇÓÉ»ù±¾¹«Ê½×ª»»¶øÀ´£¬£¬£¬£¬£¬ £¬£¬£¬²»ÐèÒªÇóÀíÂÛÆµÊý£¬£¬£¬£¬£¬ £¬£¬£¬Àû±ãÊÊÓà ¡£¡£¡£¡£¡£¡£
ʾÀý3ª²3ª²7¼×ÒÒ±ûÈýËùҽԺͬÆÚ¶Ôijҩ¾ÙÐп¹Ñ¬È¾ÁÆÐ§ÊӲ죬£¬£¬£¬£¬ £¬£¬£¬¼×ÔºÊÓ²ìÁË29Àý£¬£¬£¬£¬£¬ £¬£¬£¬ÓÐÓã¨23Àý£©ÂÊΪ79ª±3%£¬£¬£¬£¬£¬ £¬£¬£¬ÒÒÔºÊÓ²ìÁË44Àý£¬£¬£¬£¬£¬ £¬£¬£¬ÓÐÓÃ(14Àý)ÂÊΪ31ª±8%£¬£¬£¬£¬£¬ £¬£¬£¬±ûÒ½ÔºÊÓ²ìÁË11Àý£¬£¬£¬£¬£¬ £¬£¬£¬ÓÐÓã¨3Àý£©ÂÊΪ27ª±3%£¨×ÊÁϼû±í3ª²4ª²8£© ¡£¡£¡£¡£¡£¡£ÎÊ3ËùÒ½Ôº¿¹Ñ¬È¾ÖÎÁƵÄ×ÜÌåÓÐÓÃÂÊÊÇ·ñÓÐÏÔÖøÒâÒ壿£¿£¿£¿£¿

¡¾½âÌâ°ì·¨¡¿
1ª±½¨ÉèÄ¥Á·¼ÙÉ裺H0£º3ËùÒ½ÔºµÄÓÐÓÃÂÊÏàµÈ£¬£¬£¬£¬£¬ £¬£¬£¬π1=π2£»£»£»£»£»£»H1£º3ËùÒ½ÔºµÄÓÐÓÃÂʲ»ÏàµÈ£¬£¬£¬£¬£¬ £¬£¬£¬H1£ºπ1≠π2 ¡£¡£¡£¡£¡£¡£
2ª±È·¶¨ÏÔÖøÐÔˮƽ£ºα£½0ª±05 ¡£¡£¡£¡£¡£¡£
3ª±Æ¾Ö¤χ2»ù±¾ÅÌË㹫ʽ£¨3ª²4ª²13£©ÅÌËãχ2Öµ£º

4ª±È·¶¨×ÔÓɶȣ¨n′£©=£¨2-1£©£¨3-1£©= 2 ¡£¡£¡£¡£¡£¡£
5ª±²éχ2Öµ±íÈ·¶¨PÖµ£º²é±í3ª²4ª²4¿ÉÖª£¬£¬£¬£¬£¬ £¬£¬£¬χ20ª±05£¨2£©=10ª±60£¬£¬£¬£¬£¬ £¬£¬£¬½ñχ2=17ª±907£¬£¬£¬£¬£¬ £¬£¬£¬£¾χ20ª±005(2)£¬£¬£¬£¬£¬ £¬£¬£¬¹ÊP£¼0ª±005 ¡£¡£¡£¡£¡£¡£
6ª±ÍƶϽáÂÛ£ºÔÚα=0ª±05Ë®×¼ÉÏ£¬£¬£¬£¬£¬ £¬£¬£¬¾Ü¾øH0£¬£¬£¬£¬£¬ £¬£¬£¬ÎüÊÕH1£¬£¬£¬£¬£¬ £¬£¬£¬¹Ê¸ÃÒ©ÔÚÈýËùÒ½ÔºµÄ¿¹Ñ¬È¾Ð§¹û±£´æÍ³¼ÆÑ§²î±ð£¨P£¼0ª±005£© ¡£¡£¡£¡£¡£¡£
£¨ËÄ£© ¶þÁжà¸ñ×ÊÁÏχ2ֵĥÁ·
¶þÁжà¸ñ×ÊÁÏχ2ֵĥÁ·Ò²³Æ¶à¸öÑù±¾ÂʵĽÏÁ¿£¬£¬£¬£¬£¬ £¬£¬£¬ÆäÄ¿µÄÊÇÍÆ¶ÏËüÃÇËù´ú±íµÄ×ÜÌåÂÊÊÇ·ñÏàµÈ ¡£¡£¡£¡£¡£¡£¸ÃÀà×ÊÁϵĻù±¾Êý¾ÝÓÐRÐУ¨Ñù±¾¸öÊý£©£¬£¬£¬£¬£¬ £¬£¬£¬2ÁУ¨Ö¸Ñù±¾µÄÑôÐÔÊýÓëÒõÐÔÊý£©£¬£¬£¬£¬£¬ £¬£¬£¬ÒÔÊÇÓÖ½ÐR×2ÁÐÁª±í»òÁÐÁª±í(contingency table) ¡£¡£¡£¡£¡£¡£
¹«Ê½Í¬»ù±¾¹«Ê½£¨3ª²4ª²13£©£¬£¬£¬£¬£¬ £¬£¬£¬ÅÌËã³öµÄ×ÊÁÏ¿ÉÒÔ¾ÙÐÐÏà¹ØÆÊÎö ¡£¡£¡£¡£¡£¡£
ʾÀý3ª²4ª²8£¨°Ù·Ö±ÈÏ໥½ÏÁ¿£©£ºÄ³Ò½ÔºÊÓ²ìÑÏÖØÉÕÉ˲¡ÈËÔçÆÚÑÓ³ÙÖÎÁƶÔÐݿ˱¬·¢ÂÊÓÐÎÞÓ°Ï죬£¬£¬£¬£¬ £¬£¬£¬ÊÓ²ìʱ¼ä»®·ÖΪÉ˺ó´óÓÚ18Сʱ£¨¼××飩¡¢É˺ó6¡«18Сʱ£¨ÒÒ×飩ºÍ6СʱÒÔÄÚ£¨±û×飩3¸ö½ÓÊÜÖÎÁÆÐ¡×飬£¬£¬£¬£¬ £¬£¬£¬Ð§¹û»ãÓÚ±í3ª²4ª²9ÖÐ ¡£¡£¡£¡£¡£¡£ÎÊÑÓ³ÙÖÎÁƶÔÉÕÉËÐݿ˵ı¬·¢ÂÊÓÐÎÞͳ¼ÆÑ§²î±ð£¬£¬£¬£¬£¬ £¬£¬£¬»òÏ໥֮¼äÓÐÎÞ¹ØÁª£¿£¿£¿£¿£¿

¡¾½âÌâ°ì·¨¡¿
1ª±½¨ÉèÄ¥Á·¼ÙÉ裺ÉèH0£ºÈýÖÖ²î±ðÖÎÁÆÊ±¼äÐݿ˱¬·¢ÂÊÏàµÈ£»£»£»£»£»£»ÉèH0£ºπ1=π2£»£»£»£»£»£»ÈýÖÖ²î±ðÖÎÁÆÊ±¼äÐݿ˱¬·¢Âʲ»ÍêÈ«ÏàµÈ£¬£¬£¬£¬£¬ £¬£¬£¬H1£ºπ1≠π2 ¡£¡£¡£¡£¡£¡£
2ª±È·¶¨ÏÔÖøÐÔˮƽ£ºα=0ª±05 ¡£¡£¡£¡£¡£¡£
3ª±ÅÌËãχ2Öµ£º½«±í3ª²4ª²9ÖеÄÊý×Ö´úÈ빫ʽ3ª²4ª²13£¬£¬£¬£¬£¬ £¬£¬£¬µÃ£º

4ª±ÅÌËã×ÔÓɶȣº£¨n′£©=£¨2-1£©£¨3-1£©= 2 ¡£¡£¡£¡£¡£¡£
5ª±È·¶¨PÖµ£ºÒòn′=2£¬£¬£¬£¬£¬ £¬£¬£¬²éχ2Öµ±í£¨3ª²4ª²4£©£¬£¬£¬£¬£¬ £¬£¬£¬χ20ª±005£¨2£©=10ª±60£¬£¬£¬£¬£¬ £¬£¬£¬±¾Ñо¿χ2£½24ª±776£¾χ20ª±005£¨2£©£¨10ª±60£©Ë®Æ½£¬£¬£¬£¬£¬ £¬£¬£¬P£¼0ª±005 ¡£¡£¡£¡£¡£¡£
6ª±ÍƶÏЧ¹û£ºÔÚα=0ª±05Ë®×¼ÉÏ£¬£¬£¬£¬£¬ £¬£¬£¬¾Ü¾øH0£¬£¬£¬£¬£¬ £¬£¬£¬½ÓÊÜH1£¬£¬£¬£¬£¬ £¬£¬£¬ÒòP£¼0ª±005£¬£¬£¬£¬£¬ £¬£¬£¬²î±ðÓи߶ÈÏÔÖøÐÔ£¬£¬£¬£¬£¬ £¬£¬£¬¹ÊÒÔΪÑÏÖØÉÕÉ˲¡ÈËÔçÆÚ½ÓÊÜÖÎÁƶÔÐݿ˱¬·¢ÂÊÓÐÏÔ×ÅÓ°Ïì×÷Ó㬣¬£¬£¬£¬ £¬£¬£¬¼´¿É½µµÍÐݿ˱¬·¢ÂÊ ¡£¡£¡£¡£¡£¡£
7ª±ÎªÁ˽øÒ»²½ËµÃ÷ËüÃÇÖ®¼äµÄÇ×½ü¹ØÁªË®Æ½£¬£¬£¬£¬£¬ £¬£¬£¬¿Éƾ֤¹«Ê½ÅÌËã¹ØÁªÏµÊý£º

ƾ֤Ëĸñ±íµÄpearsonÁÐÁªÏµÊýÖµrÔÚ0¡«1Ö®¼ä ¡£¡£¡£¡£¡£¡£rÖµÓú¿¿½ü0£¬£¬£¬£¬£¬ £¬£¬£¬ËµÃ÷Á½¸ö·ÖÀà±äÁ¿µÄ¹ØÏµÓúÈõ£¬£¬£¬£¬£¬ £¬£¬£¬rÖµÓú¿¿½ü1£¬£¬£¬£¬£¬ £¬£¬£¬ËµÃ÷¹ØÏµÓúÇ×½ü ¡£¡£¡£¡£¡£¡£ÓÉÓÚr=0ª±462£¬£¬£¬£¬£¬ £¬£¬£¬ËµÃ÷ÑÓ³ÙÖÎÁÆÊ±¼äÓëÐݿ˱¬·¢ÂʾßÓÐÒ»¶¨µÄ¹ØÁªÐÔ ¡£¡£¡£¡£¡£¡£
ʾÀý3ª²4ª²9£¨Ñù±¾½á¹¹±ÈÏ໥½ÏÁ¿£©£ºÄ³Ôº2004ÄêÊÕÖÎС¶ùÉÕÉË145Àý£¬£¬£¬£¬£¬ £¬£¬£¬ÖÂÉËÒòËØ£ºÈÈÒº150Àý£¬£¬£¬£¬£¬ £¬£¬£¬»ðÑæ10Àý£¬£¬£¬£¬£¬ £¬£¬£¬µçÁ÷7Àý£¬£¬£¬£¬£¬ £¬£¬£¬ÆäËû23Àý£»£»£»£»£»£»³ÉÈËÉÕÉË188ÈË£¬£¬£¬£¬£¬ £¬£¬£¬ÖÂÉËÒòËØ£ºÈÈÒº50Àý£¬£¬£¬£¬£¬ £¬£¬£¬»ðÑæ48Àý£¬£¬£¬£¬£¬ £¬£¬£¬µçÁ÷18Àý£¬£¬£¬£¬£¬ £¬£¬£¬ÆäËû72Àý£¨×ÊÁϼû±í3ª²4ª²10£©£¬£¬£¬£¬£¬ £¬£¬£¬ÎÊС¶ùÉÕÉËÔµ¹ÊÔ­ÓÉÓë³ÉÈËÉÕÉËÔµ¹ÊÔ­ÓÉÏ໥֮¼äÊÇ·ñÓйØÁªÐÔ£¿£¿£¿£¿£¿

¡¾½âÌâ°ì·¨¡¿
1ª±½¨ÉèÄ¥Á·¼ÙÉèºÍÈ·¶¨ÏÔÖøÐÔˮƽ£º¢ÙÉèH0£ºÁ½×鲡ÈËÉËÒò×é³ÉÏàµÈ£¬£¬£¬£¬£¬ £¬£¬£¬H0£ºπ1=π2£»£»£»£»£»£»¢ÚÉèH1£ºÁ½×鲡ÈËÉËÒò×é³É²»ÍêÈ«ÏàµÈ£¬£¬£¬£¬£¬ £¬£¬£¬H1£ºπ1≠π2 ¡£¡£¡£¡£¡£¡£
2ª±ÏÔÖøË®Æ½£ºα=0ª±05 ¡£¡£¡£¡£¡£¡£
3ª±ÅÌËãχ2Öµ£º¿É½«±í3ª²4ª²10ÖеÄÊý×Ö´úÈ빫ʽ£¨3ª²4ª²13£©£¬£¬£¬£¬£¬ £¬£¬£¬µÃ£º

4ª±ÅÌËã×ÔÓɶȣº£¨n′£©=£¨2-1£©£¨4-1£©= 3 ¡£¡£¡£¡£¡£¡£
5ª±È·¶¨PÖµ£ºn′=3£¬£¬£¬£¬£¬ £¬£¬£¬²éχ2Öµ±í£¨3ª²4ª²4£©£¬£¬£¬£¬£¬ £¬£¬£¬χ20ª±005£¨3£©=12ª±84£¬£¬£¬£¬£¬ £¬£¬£¬½ñχ2=70ª±14£¬£¬£¬£¬£¬ £¬£¬£¬¹ÊP£¼0ª±005 ¡£¡£¡£¡£¡£¡£
6ª±ÍƶÏЧ¹û£ºÔÚα=0ª±05Ë®×¼ÉÏ£¬£¬£¬£¬£¬ £¬£¬£¬¾Ü¾øH0£¬£¬£¬£¬£¬ £¬£¬£¬½ÓÊÜH1£¬£¬£¬£¬£¬ £¬£¬£¬ÒòP£¼0ª±005£¬£¬£¬£¬£¬ £¬£¬£¬²î±ðÓкÜÊÇÏÔÖøÒâÒ壬£¬£¬£¬£¬ £¬£¬£¬¹ÊÒÔΪС¶ùÉÕÉ˲¡È˵ÄÖÂÉËÒòËØ×é³É±ÈÓë³ÉÈ˲î±ð£¬£¬£¬£¬£¬ £¬£¬£¬ËµÃ÷С¶ùÒÔÈÈÒºÌÌÉ˶à¼û£¬£¬£¬£¬£¬ £¬£¬£¬ÆäËûÉËÒò×é³É±ÈµÍÓÚ³ÉÈË×é ¡£¡£¡£¡£¡£¡£
7ª±ÎªÁ˽øÒ»²½ËµÃ÷ËüÃÇÖ®¼äµÄÇ×½ü¹ØÁªË®Æ½£¬£¬£¬£¬£¬ £¬£¬£¬¿Éƾ֤¹«Ê½3ª²4ª²14ÅÌËã¹ØÁªÏµÊý£º

ÓÉÓÚr=0ª±417£¬£¬£¬£¬£¬ £¬£¬£¬ËµÃ÷¶ùͯÉÕÉËÉËÒòÓë³ÉÄêÈËÉÕÉËÉËÒòÖ®¼ä¾ßÓÐÒ»¶¨µÄ¹ØÁªÐÔ ¡£¡£¡£¡£¡£¡£ÓÉÓÚ¶ùͯÈÈÒºÌÌÉ˱¬·¢ÂÊΪ72ª±4%£¬£¬£¬£¬£¬ £¬£¬£¬³ÉÈËÈÈÒºÌÌÉ˱¬·¢ÂÊΪ26ª±6%£¬£¬£¬£¬£¬ £¬£¬£¬Á½ÕßÊÇ·ñ±£´æÏÔÖøÐÔ²î±ð£¬£¬£¬£¬£¬ £¬£¬£¬ÐèÒª¾ÙÐÐÁ½Á½½ÏÁ¿·½¿ÉÃ÷È· ¡£¡£¡£¡£¡£¡£
£¨Î壩 ¶àÁжà¸ñ×ÊÁÏχ2ֵĥÁ·
ÁÙ´²¾­³£Óöµ½3×é»ò3×éÒÔÉϵĶà¸ñ×ÊÁÏ£¬£¬£¬£¬£¬ £¬£¬£¬ÆäÅÌËãÒªÁìÈÔÒÔ¹«Ê½£¨3ª²4ª²13£©Îª»ù´¡ ¡£¡£¡£¡£¡£¡£ÏÖ¾ÙÀý˵Ã÷£º
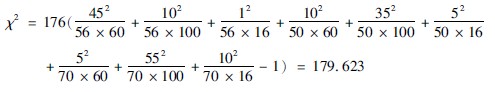
ʾÀý3ª²4ª²10£¨¼ÆÊý×ÊÁÏÏà¹ØÆÊÎö£©£ºÄ³ÉÕÉËÖÐÐÄÊÓ²ìÁË176ÀýÎüÈëÐÔËðÉ˲¡È˵IJî±ðÉËÇéÓëºôÎüÄÑÌâµÄ¸÷×ÔÀýÊý£¬£¬£¬£¬£¬ £¬£¬£¬ÎʺôÎüÄÑÌâˮƽÓëÎüÈëËðÉËÉËÇéÖ®¼äÓÐÎÞ¹ØÁªÐÔ£¨Êý¾Ý×ÊÁÏ»ãÓÚ±í3ª²4ª²11ÖУ©£¿£¿£¿£¿£¿

¡¾½âÌâ°ì·¨¡¿
±¾ÀýµÄÉè¼ÆºÍÆÊÎöÄ¿µÄÓëÉÏÊöÀý×Ó²î±ð ¡£¡£¡£¡£¡£¡£Ëü²¢·ÇÊÇÁ½¸öÑù±¾ÂÊÓë×ÜÌåÂÊ¡¢¶à¸öÑù±¾ÂÊÓë×ÜÌåÂÊ»ò×é³É±ÈÖ®¼äµÄ½ÏÁ¿£¬£¬£¬£¬£¬ £¬£¬£¬¶øÊǼòµ¥Ñù±¾×ÔÉíµÄ½ÏÁ¿£¬£¬£¬£¬£¬ £¬£¬£¬Ã¿¸ö¹¤¾ß»®·Ö°´Á½ÖÖ±ê¼Ç·Ö¼¶£¨ÉËÇéÓëºôÎüÄÑÌ⣩£¬£¬£¬£¬£¬ £¬£¬£¬ÊôÓÚË«ÏàÂʵÄÅÌË㣬£¬£¬£¬£¬ £¬£¬£¬Ä¿µÄÊÇÍÆ²âÁ½ÖÖ±ê¼ÇÖ®¼äÓÐÎÞÏà¹ØÐÔ ¡£¡£¡£¡£¡£¡£
1ª±½¨ÉèÄ¥Á·¼ÙÉ裺¢ÙÉèH0£ººôÎüÄÑÌâˮƽÓëÎüÈëÐÔËðÉËˮƽÎ޹أ»£»£»£»£»£»¢ÚÉèH1£ººôÎüÄÑÌâˮƽÓëÎüÈëÐÔËðÉËˮƽÓÐ¹Ø ¡£¡£¡£¡£¡£¡£
2ª±È·¶¨ÏÔÖøË®×¼£ºα=0ª±05 ¡£¡£¡£¡£¡£¡£
3ª±ÅÌËãχ2Öµ£º½«±í3ª²4ª²11ÖеÄÊý×Ö´úÈ빫ʽ3ª²4ª²13£¬£¬£¬£¬£¬ £¬£¬£¬µÃ£º

4ª±ÅÌËã×ÔÓɶȣº£¨n′£©=£¨3-1£©£¨3-1£©= 4 ¡£¡£¡£¡£¡£¡£
5ª±È·¶¨PÖµ£ºn′=4£¬£¬£¬£¬£¬ £¬£¬£¬²éχ2½çÖµ±í£¨3ª²24£©£¬£¬£¬£¬£¬ £¬£¬£¬χ20ª±005(4)=14ª±86£¬£¬£¬£¬£¬ £¬£¬£¬±¾Ñо¿χ2=179ª±623£¬£¬£¬£¬£¬ £¬£¬£¬£¾χ20ª±005(4)£¨14ª±86£©Ë®×¼£¬£¬£¬£¬£¬ £¬£¬£¬P£¼0ª±005 ¡£¡£¡£¡£¡£¡£
6ª±ÍƶÏЧ¹û£ºÔÚα=0ª±05Ë®×¼ÉÏ£¬£¬£¬£¬£¬ £¬£¬£¬¾Ü¾øH0£¬£¬£¬£¬£¬ £¬£¬£¬½ÓÊÜH1£¬£¬£¬£¬£¬ £¬£¬£¬ÒòP£¼0ª±005£¬£¬£¬£¬£¬ £¬£¬£¬²î±ðÓи߶ÈÏÔÖøÐÔ£¬£¬£¬£¬£¬ £¬£¬£¬¹ÊÒÔΪºôÎüÄÑÌâˮƽÓëÎüÈëÐÔËðÉËˮƽ¹ØÁªÇ×½ü ¡£¡£¡£¡£¡£¡£
7ª±ÎªÁ˽øÒ»²½ËµÃ÷ËüÃÇÖ®¼äµÄÇ×½ü¹ØÁªË®Æ½£¬£¬£¬£¬£¬ £¬£¬£¬¿Éƾ֤¹«Ê½£¨3ª²4ª²14£©ÅÌËã¹ØÁªÏµÊý£º

ÓÉÓÚr=0ª±7316£¬£¬£¬£¬£¬ £¬£¬£¬ËµÃ÷ºôÎüÄÑÌâˮƽÓëÎüÈëËðˮƽ¾ßÓÐÏÔ×ŵĹØÁªÐÔ£¬£¬£¬£¬£¬ £¬£¬£¬¼´ÎüÈëËðÉËÔ½ÖØ£¬£¬£¬£¬£¬ £¬£¬£¬ºôÎüÄÑÌâÔ½ÑÏÖØ ¡£¡£¡£¡£¡£¡£
£¨Áù£© Åä¶Ô¼ÆÊý×ÊÁϵÄχ2Ä¥Á·

¼ÆÊý×ÊÁϵÄÅä¶ÔÉè¼Æ³£ÓÃÓÚÁ½ÖÖÄ¥Á·ÒªÁ죬£¬£¬£¬£¬ £¬£¬£¬Èç×÷ÓýÒªÁì¡¢Õï¶ÏÒªÁìµÄ½ÏÁ¿ ¡£¡£¡£¡£¡£¡£ÆäÌØµãÊǶÔÑù±¾Öеĸ÷ÊӲ쵥λ»®·ÖÓÃÁ½ÖÖÒªÁì´¦Öóͷ££¬£¬£¬£¬£¬ £¬£¬£¬È»ºóÊÓ²ìÁ½ÖÖÒªÁìµÄЧ¹û ¡£¡£¡£¡£¡£¡£´ËÀà×ÊÁÏ¿ÉÓÃÅä¶Ôχ2Ä¥Á·£¬£¬£¬£¬£¬ £¬£¬£¬½ÏÁ¿Á½¸öÂÊÖ®¼äÊÇ·ñÓвî±ð ¡£¡£¡£¡£¡£¡£´ÓÅä¶ÔÉè¼ÆÀ´Ëµ£¬£¬£¬£¬£¬ £¬£¬£¬Åä¶Ô¼ÆÊý×ÊÁÏÓëǰ±ßËùÏÈÈݵÄÅä¶Ô¼ÆÊý×ÊÁÏÊÇÏàͬµÄ£¬£¬£¬£¬£¬ £¬£¬£¬¶¼ÊǰÑÁ½ÖÖ´¦Öóͷ£ÒòËØ»®·ÖÊ©¼ÓÓÚÌõ¼þÏàËÆµÄÊÜÊÔ¹¤¾ßÉÏ£¬£¬£¬£¬£¬ £¬£¬£¬»òÏȺóÊ©ÓÚͳһ¹¤¾ßÉÏ ¡£¡£¡£¡£¡£¡£Åä¶Ô¼Í¼ÊÔÑéЧ¹ûÈçΪ¼ÆÁ¿×ÊÁÏ£¬£¬£¬£¬£¬ £¬£¬£¬¼´Êô¼ÆÁ¿Åä¶Ô×ÊÁÏ£»£»£»£»£»£»ÈôЧ¹ûΪ¼ÆÊý×ÊÁÏ£¬£¬£¬£¬£¬ £¬£¬£¬¼´ÊôÓÚ¼ÆÊýÅä¶Ô×ÊÁÏ ¡£¡£¡£¡£¡£¡£Åä¶Ô¼ÆÊý×ÊÁϵÄχ2Ä¥Á·°üÀ¨Á½¸öÄÚÈÝ£º¢ÙÆÊÎöËüÃǵÄÏà¹Ø¹ØÏµ£»£»£»£»£»£»¢ÚÆÊÎö´¦Öóͷ£Ð§¹ûÓÐÎÞ²î±ð ¡£¡£¡£¡£¡£¡£
ʾÀý3ª²4ª²11£º100¸öÉî¢ò¶ÈÉÕÉË´´Ã棬£¬£¬£¬£¬ £¬£¬£¬Ã¿¸ö´´Ãæ»®·ÖÓÃÁ½ÖÖÒªÁ죨¼×·¨ÓëÒÒ·¨£©Õï¶Ï ¡£¡£¡£¡£¡£¡£Ð§¹û£º¼×·¨ÑôÐÔÕßΪ67¸ö£¬£¬£¬£¬£¬ £¬£¬£¬ÒÒ·¨ÑôÐÔÕß50¸ö£»£»£»£»£»£»ÆäÖм×ÒÒÁ½·¨¾ùÑôÐÔÕߣ¨a£©39¸ö£¬£¬£¬£¬£¬ £¬£¬£¬¼×ÒÒÁ½·¨¾ùÒõÐÔÕߣ¨d£©22¸ö£¬£¬£¬£¬£¬ £¬£¬£¬¼×·¨ÑôÐÔÒÒ·¨ÒõÐÔÕߣ¨d£©28¸ö£¬£¬£¬£¬£¬ £¬£¬£¬ÒÒ·¨ÑôÐÔ¼×·¨ÒõÐÔÕߣ¨c£©11¸ö£¨×ÊÁϼû±í3ª²4ª²12£© ¡£¡£¡£¡£¡£¡£Îʼ×ÒÒÁ½ÖÖÒªÁìµÄÕï¶ÏЧ¹ûÓÐÎÞ¹ØÁª¼°Í³¼ÆÑ§²î±ð£¿£¿£¿£¿£¿
¡¾½âÌâ°ì·¨¡¿
µÚÒ»²½£ºÆÊÎöÁ½ÖÖÕï¶ÏЧ¹ûÓÐÎÞÏà¹Ø¹ØÏµ£¬£¬£¬£¬£¬ £¬£¬£¬Ã¿¸ö¹¤¾ß°´Á½ÖÖ´¦Öóͷ£½á¹¹·Ö×飬£¬£¬£¬£¬ £¬£¬£¬¹Ê¿ÉÓÃËĸñχ2Ä¥Á·¹«Ê½ÅÌË㣬£¬£¬£¬£¬ £¬£¬£¬ÍƶÏÁ½ÖÖÕï¶ÏÒªÁìÖ®¼äÓÐÎÞÏà¹Ø¹ØÏµ£º
1ª±½¨ÉèÄ¥Á·¼ÙÉ裺¢ÙÉèH0£º¼×ÒÒÕï¶ÏÒªÁìÖ®¼äÎ޹أ»£»£»£»£»£»¢ÚÉèH1£º¼×ÒÒÕï¶ÏÒªÁìÖ®¼äÓÐ¹Ø ¡£¡£¡£¡£¡£¡£
2ª±È·¶¨ÏÔÖøË®×¼£ºα=0ª±05 ¡£¡£¡£¡£¡£¡£

3ª±ÅÌËãχ2Öµ£º½«±í3ª²4ª²12ÖеÄÊý×Ö´úÈ빫ʽ3ª²4ª²12£¬£¬£¬£¬£¬ £¬£¬£¬µÃ£º

4ª±ÅÌËã×ÔÓɶȣº£¨n′£©=£¨2-1£©£¨2-1£©=1 ¡£¡£¡£¡£¡£¡£
5ª±È·¶¨PÖµ£ºn′=1£¬£¬£¬£¬£¬ £¬£¬£¬²éχ2Öµ±í£¨3ª²4ª²4£©£¬£¬£¬£¬£¬ £¬£¬£¬χ20ª±05=3ª±841£¬£¬£¬£¬£¬ £¬£¬£¬χ20ª±01=6ª±635£¬£¬£¬£¬£¬ £¬£¬£¬±¾Ñо¿6ª±ÍƶÏЧ¹û£ºÔÚα=0ª±05Ë®×¼ÉÏ£¬£¬£¬£¬£¬ £¬£¬£¬¾Ü¾øH0£¬£¬£¬£¬£¬ £¬£¬£¬½ÓÊÜH1£¬£¬£¬£¬£¬ £¬£¬£¬ÒòP£¼0ª±05£¬£¬£¬£¬£¬ £¬£¬£¬²î±ðÓÐÏÔÖøÐÔ£¬£¬£¬£¬£¬ £¬£¬£¬¹ÊÒÔΪÁ½ÖÖÕï¶Ïˮƽ¹ØÁªÇ×½ü ¡£¡£¡£¡£¡£¡£
µÚ¶þ²½£ºÅÌËãÁ½ÖÖ´¦Öóͷ£Ð§¹ûÓÐÎÞ²î±ð£ºÅÌË㹫ʽΪ£¨3ª²4ª²15£©£º

1ª±½¨ÉèÄ¥Á·¼ÙÉ裺¢ÙÉèH0£ºÁ½×ÜÌåb=c£»£»£»£»£»£»¢ÚH1£ºÁ½×ÜÌåb≠c ¡£¡£¡£¡£¡£¡£
2ª±È·¶¨ÏÔÖøË®×¼£ºα=0ª±05
3ª±ÅÌËãχ2Öµ£º½«±í3ª²4ª²12ÖеÄÊý×Ö´úÈ빫ʽ3ª²4ª²15£¬£¬£¬£¬£¬ £¬£¬£¬µÃ£º

4ª±×ÔÓɶȣºn′=1 ¡£¡£¡£¡£¡£¡£
5ª±È·¶¨PÖµ£ºn′=1£¬£¬£¬£¬£¬ £¬£¬£¬²éχ2Öµ±í£¨3ª²4ª²4£©£¬£¬£¬£¬£¬ £¬£¬£¬χ20ª±05=3ª±841£¬£¬£¬£¬£¬ £¬£¬£¬χ20ª±01=6ª±635£¬£¬£¬£¬£¬ £¬£¬£¬±¾Ñо¿χ2=6ª±564£¬£¬£¬£¬£¬ £¬£¬£¬½éÓÚχ20ª±005ºÍχ20ª±01Ë®×¼Ö®¼ä£¬£¬£¬£¬£¬ £¬£¬£¬¹ÊP£¼0ª±05 ¡£¡£¡£¡£¡£¡£
6ª±ÍƶÏЧ¹û£ºÔÚα=0ª±05Ë®×¼ÉÏ£¬£¬£¬£¬£¬ £¬£¬£¬¾Ü¾øH0£¬£¬£¬£¬£¬ £¬£¬£¬½ÓÊÜH1£¬£¬£¬£¬£¬ £¬£¬£¬ÒòP£¼0ª±05£¬£¬£¬£¬£¬ £¬£¬£¬²î±ðÓÐÏÔÖøÐÔ£¬£¬£¬£¬£¬ £¬£¬£¬¹ÊÒÔΪ¼×ÒÒÁ½ÖÖÕï¶ÏÒªÁì¼òÖ±ÕïÂʲî±ð£¬£¬£¬£¬£¬ £¬£¬£¬¼×·¨¼òÖ±ÕïÂʸßÓÚÒÒ·¨ ¡£¡£¡£¡£¡£¡£
7ª±¹ØÁªÐÔÆÊÎö£ºÆ¾Ö¤¹«Ê½3ª²4ª²14ÅÌËã¹ØÁªÏµÊý£º

ÓÉÓÚr=0ª±629£¬£¬£¬£¬£¬ £¬£¬£¬ËµÃ÷¼×ÒÒÁ½ÖÖÒªÁìµÄÕï¶ÏЧ¹û¹ØÁªÐÔ½ÏÇ¿£¬£¬£¬£¬£¬ £¬£¬£¬¼×·¨ÓÅÓÚÒÒ·¨ ¡£¡£¡£¡£¡£¡£
£¨Æß£©Á½¸öСÑù±¾µÄχ2Ä¥Á·ÒªÁì
ÓÉÓÚχ2Ä¥Á·ÊÇÒÔÒ»Ìõƽ»¬ÇúÏßΪ»ù´¡£¬£¬£¬£¬£¬ £¬£¬£¬´óÑù±¾ËùµÃµÄ¸ÅÂÊÓëÆäÕæÕý¸ÅÂʺܿ¿½ü ¡£¡£¡£¡£¡£¡£µ±ÎªÐ¡Ñù±¾Ê±£¬£¬£¬£¬£¬ £¬£¬£¬Èçn£¼40£¨ÓÐÈËÒÔΪn£¼50£©Ê±£¬£¬£¬£¬£¬ £¬£¬£¬ÓÃǰ±ß½²µÄ´óÑù±¾½ÏÁ¿µÄuÄ¥Á·»òχ2Ä¥Á·¹«Ê½ÅÌËãЧ¹û¶¼½û¾øÈ·£¬£¬£¬£¬£¬ £¬£¬£¬»òÆ«Òнϴ󣬣¬£¬£¬£¬ £¬£¬£¬ÐèÒª½ÓÄÉСÑù±¾Ð£Õý¹«Ê½ÅÌËã ¡£¡£¡£¡£¡£¡£Á½¸öСÑù±¾µÄÄ¥Á·ÒªÁìÓÐÁ½ÖÖ£ºÒ»ÖÖÊÇÑù±¾£¨n£©Æ«Ð ¡£¡£¡£¡£¡£¡£»£»£»£»£»£»Ò»ÖÖÊÇËĸñ±íÖÐÓÐÀíÂÛÆµÊýÖзºÆð0»ò1ʱ ¡£¡£¡£¡£¡£¡£ÏÖ¾ÙÀý˵Ã÷£º

1ª±Ð¡Ñù±¾Ð£Õý¹«Ê½£¨3ª²4ª²16£©£º

ʾÀý3ª²3ª²12£ºÓü×ÒÒÁ½ÖÖÒ©ÎïÖÎÁÆÌÇÄò²¡»µ¾Ò´´Ãæ¸÷30¸ö£¬£¬£¬£¬£¬ £¬£¬£¬¼×Ò©×éñ£ºÛ±¬·¢ÂÊΪ70%£¬£¬£¬£¬£¬ £¬£¬£¬ÒÒÒ©×éñ°ºÛ±¬·¢ÂÊΪ50% ¡£¡£¡£¡£¡£¡£ÎÊÁ½×éÖ®¼äµÄÁÆÐ§ÓÐÎÞͳ¼ÆÑ§²î±ð£¿£¿£¿£¿£¿
¡¾½âÌâ°ì·¨¡¿
£¨1£©Æ¾Ö¤ÌâÖÐÊý¾ÝÁбí3ª²4ª²13£º

£¨2£©½«±í3ª²4ª²13ÖÐÊý×Ö´úÈ빫ʽ(3ª²4ª²16)£¬£¬£¬£¬£¬ £¬£¬£¬µÃ£º

£¨3£©Ð§¹ûÅжϣºÒòn′=1£¬£¬£¬£¬£¬ £¬£¬£¬χ2Öµ=7ª±050£¼χ20ª±01£¨6ª±635£©£¬£¬£¬£¬£¬ £¬£¬£¬¹ÊP£¼0ª±01 ¡£¡£¡£¡£¡£¡£×é¼äÓкÜÊÇÏÔÖø²î±ð ¡£¡£¡£¡£¡£¡£
£¨4£©½áÂÛ£º¼×Ò©ÖÎÁƵĴ´Ãæñ£ºÛ±¬·¢ÂʵÍÓÚÒÒÒ©ÖÎÁÆ×é ¡£¡£¡£¡£¡£¡£
СÑù±¾ÂʵÄχ2¹«Ê½ÅÌËãЧ¹ûÓÅÓÚ´óÑù±¾ÂʵÄχ2¹«Ê½£¬£¬£¬£¬£¬ £¬£¬£¬ÓÈÆäÔÚÆäËûÄ¥Á·¹«Ê½ËùµÃ¸ÅÂÊ¿¿½üÄ¥Á·Ë®×¼Ê±£¬£¬£¬£¬£¬ £¬£¬£¬ÒËÓÃСÑù±¾ÂʵÄχ2¹«Ê½ ¡£¡£¡£¡£¡£¡£ÏÖÔÚÐí¶àͳ¼ÆÑ§ÕßÒÔΪ£º¢ÙСÑù±¾ÂʵÄχ2¹«Ê½Îó²î×îС£¬£¬£¬£¬£¬ £¬£¬£¬×îΪ³£Ó㻣»£»£»£»£»¢ÚÒÑÍùÓÐÒ»ÖÖÎó½â£¬£¬£¬£¬£¬ £¬£¬£¬Ö»Óе±ÀýÊýСÓÚ30ʱ£¬£¬£¬£¬£¬ £¬£¬£¬»òÀíÂÛÆµÊýСÓÚ5ʱ£¬£¬£¬£¬£¬ £¬£¬£¬χ2Ô­¹«Ê½ÅÌËãÖµÖÐÓÐÎó²î£¬£¬£¬£¬£¬ £¬£¬£¬²»È»²»±Ø¾ÙÐÐУÕý ¡£¡£¡£¡£¡£¡£Êµ¼ù֤ʵ£¬£¬£¬£¬£¬ £¬£¬£¬Ö»ÒªÊÇÅжÏP=0ª±05»òP=0ª±01µÄÏÔÖøÄ¥Á·£¬£¬£¬£¬£¬ £¬£¬£¬ÓÃУÕý¹«Ê½Ò»¶¨ÓÅÓÚ»ù±¾¹«Ê½£¬£¬£¬£¬£¬ £¬£¬£¬×ÝÈ»ÀýÊý´óÓÚ30£¬£¬£¬£¬£¬ £¬£¬£¬»òÀíÂÛÆµÊý´óÓÚ5£¬£¬£¬£¬£¬ £¬£¬£¬½ÓÄÉУÕý¹«Ê½Ò²±Èχ2Ô­ÅÌËãÒªÁìÎó²îС ¡£¡£¡£¡£¡£¡£
2ª± Á½×éÊý¾ÝÖÐÓÐ1»ò0µÄСÑù±¾×ÊÁÏÅÌË㣺ǰ±ßÒÑÐðÊöÁËСÑù±¾ÂʵÄχ2ÅÌË㹫ʽÓëÒªÁ죬£¬£¬£¬£¬ £¬£¬£¬µ«ÔÚÏÖʵÊÂÇéÖУ¬£¬£¬£¬£¬ £¬£¬£¬Ð¡Ñù±¾×ÊÁϾ­³£·ºÆðÀíÂÛÆµÊýСÓÚ1µÄÇéÐΣ¬£¬£¬£¬£¬ £¬£¬£¬¼´T£¼1 ¡£¡£¡£¡£¡£¡£ÕâÖÖ×ÊÁϲ»ÒËÓÃСÑù±¾ÅÌË㹫ʽÅÌË㣬£¬£¬£¬£¬ £¬£¬£¬¸ü²»¿ÉÓÃËĸñ±í¹«Ê½ÅÌË㣬£¬£¬£¬£¬ £¬£¬£¬µ«ÒËÓÃËĸñ±íÈ·ÇиÅÂÊ·¨ÅÌËã ¡£¡£¡£¡£¡£¡£È·ÇиÅÂÊ·¨ÊÇÓÉRª±Aª±FisherÌá³öµÄ£¬£¬£¬£¬£¬ £¬£¬£¬¹ÊÓÖ³ÆFisherÈ·ÇиÅÂÊÄ¥Á· ¡£¡£¡£¡£¡£¡£´Ë·¨±¾²»ÊôÓÚχ2Ä¥Á·ÁìÓò£¬£¬£¬£¬£¬ £¬£¬£¬µ«¿É×÷ΪËĸñ±í×ÊÁϼÙÉèÄ¥Á·µÄÔö²¹ ¡£¡£¡£¡£¡£¡£ÏÈÈÝÈçÏ£º
È·ÇиÅÂÊ·¨ÖÖÖÖ×éºÏ¸ÅÂʵÄÅÌË㹫ʽ£¨3ª²4ª²17£©Îª£º

ʽÖÐa¡¢b¡¢c¡¢dµÄÒâÒåͬ±í3ª²4ª²5£¬£¬£¬£¬£¬ £¬£¬£¬£¡Îª½×³Ë·ûºÅ£¬£¬£¬£¬£¬ £¬£¬£¬N£¡=1×2×3×4×…×N£¬£¬£¬£¬£¬ £¬£¬£¬ÊýѧÉÏ»®¶¨£¡=1 ¡£¡£¡£¡£¡£¡£Ò»Ñùƽ³£ÅÌËãÆ÷²»¿ÉÅÌËãN≥70µÄ½×³Ë£¬£¬£¬£¬£¬ £¬£¬£¬ÕâÖÖÇéÐÎÏÂÓöÔÊýÅÌËã ¡£¡£¡£¡£¡£¡£
Ëĸñ±íÖÐ|A-T|ÖµµÄÌØµã£º¢Ù¸÷¸ñÏàµÈ£¬£¬£¬£¬£¬ £¬£¬£¬Èç±í3ª²4ª²14µÄA-T£¬£¬£¬£¬£¬ £¬£¬£¬a¡¢dÁ½¸ñ¾ùΪ-1ª±4£¬£¬£¬£¬£¬ £¬£¬£¬b¡¢cÁ½¸ñ¾ùΪ+1ª±4£¬£¬£¬£¬£¬ £¬£¬£¬Æä¾ø¶ÔÖµÏàµÈ ¡£¡£¡£¡£¡£¡£Òò¶øÅÌËãijһËĸñ±íµÄ|A-T|ֵʱ£¬£¬£¬£¬£¬ £¬£¬£¬Ö»ÐèÅÌËã±íÖÐÈÎÒ»¸ñµÄ|A-T|Öµ¼´¿É£»£»£»£»£»£»¢ÚÒÀ´ÎÔö¼õËĸñ±íÖÐÈκÎÒ»¸ñµÄÊý¾Ý£¬£¬£¬£¬£¬ £¬£¬£¬¿ÉÁгöÖܱߺϼÆÎȹÌÌõ¼þÏÂÖÖÖÖ×éºÏµÄËĸñ±í£¬£¬£¬£¬£¬ £¬£¬£¬ÈçʾÀý3ª²4ª²13ÖеÄÎå¸öËĸñ±í£¬£¬£¬£¬£¬ £¬£¬£¬»®·ÖÅÌËãÆä|A-T|Öµ£¬£¬£¬£¬£¬ £¬£¬£¬ÁÐÓÚ±íÏ ¡£¡£¡£¡£¡£¡£Óɴ˿ɼû£¬£¬£¬£¬£¬ £¬£¬£¬Á½²àµÄ|A-T|Öµ½Ï´ó£¬£¬£¬£¬£¬ £¬£¬£¬¶øÖÐÐĵĽÏС ¡£¡£¡£¡£¡£¡£
ÖÖÖÖ×éºÏÏÂÀۼƸÅÂʵÄÅÌË㣺¢ÙË«²àÄ¥Á·£º°´¹«Ê½3ª²4ª²17»®·ÖÅÌËãÁ½²àËùÓÐ|A-T|ÖµµÄ¸÷Ëĸñ±íµÄPÖµ£¬£¬£¬£¬£¬ £¬£¬£¬È»ºóÏà¼Ó£¬£¬£¬£¬£¬ £¬£¬£¬¼´ÎªË«²àÄ¥Á·µÄPÖµ£»£»£»£»£»£»¢Úµ¥²àÄ¥Á·£º°´Ñо¿Ä¿µÄ£¬£¬£¬£¬£¬ £¬£¬£¬Ö»ÅÌËãÒ»²àµÄËùÓÐ|A-T|Öµ¼´ÊǼ°´óÓÚÑù±¾|A-T|ÖµµÃËĸñ±íµÄPÖµ£¬£¬£¬£¬£¬ £¬£¬£¬È»ºóÏà¼Ó£¬£¬£¬£¬£¬ £¬£¬£¬¼´Îªµ¥²àÄ¥Á·µÄPÖµ ¡£¡£¡£¡£¡£¡£
ʾÀý3ª²3ª²13£ºÄ³Ò½ÉúÓÃоÉÁ½ÖÖÒªÁìÖÎÁÆÉÕÉ˺óѪÐ鲡È˹²¼Æ27Àý£¬£¬£¬£¬£¬ £¬£¬£¬Ð§¹û»ãÓÚ±í3ª²4ª²14ÖУ¬£¬£¬£¬£¬ £¬£¬£¬ÎÊоÉÒ©ÎïµÄÁÆÐ§ÓÐÎÞ²î±ð£¿£¿£¿£¿£¿

¡¾½âÌâ°ì·¨¡¿
£¨1£©½¨ÉèÄ¥Á·¼ÙÉ裺H0£ºÐÂÒ©Óë¾ÉÒ©ÖÎÓúÂÊÏàµÈ£¬£¬£¬£¬£¬ £¬£¬£¬¼´π1=π2£»£»£»£»£»£»H1£ºÐÂÒ©Óë¾ÉÒ©ÖÎÓúÂʲ»ÏàµÈ£¬£¬£¬£¬£¬ £¬£¬£¬¼´π1≠π2 ¡£¡£¡£¡£¡£¡£
£¨2£©È·¶¨ÏÔÖøË®×¼£ºα=0ª±05 ¡£¡£¡£¡£¡£¡£
£¨3£©ÅÌËã¸ÅÂÊP£º±¾×éN=25£¼40£¬£¬£¬£¬£¬ £¬£¬£¬ÇÒÓÖT£¼5£¬£¬£¬£¬£¬ £¬£¬£¬¹ÊÒËÓÃÈ·ÇиÅÂÊ·¨ ¡£¡£¡£¡£¡£¡£Óɱí3ª²4ª²14¿É¼û£¬£¬£¬£¬£¬ £¬£¬£¬×îСÖܱߺϼÆÊýΪ4£¬£¬£¬£¬£¬ £¬£¬£¬¹ÊËùÓпÉÄܵÄ×éºÏÓÐ5ÖÖ£¬£¬£¬£¬£¬ £¬£¬£¬»®·ÖΪ£º

£¨4£©È·¶¨PÖµ£¬£¬£¬£¬£¬ £¬£¬£¬×ö³öÍÆ¶Ï½áÂÛ£ºPÖµÓ¦¼´ÊÇËùÓÐСÓÚÑù±¾µãµÄÖÖÖÖ¸ÅÂÊÖ®ºÍ£¬£¬£¬£¬£¬ £¬£¬£¬±¾ÀýÇкÏÑù±¾µãÒªÇóÕßΪ£¨1£©¡¢£¨2£©¡¢£¨5£©£¬£¬£¬£¬£¬ £¬£¬£¬Òò´Ë£¬£¬£¬£¬£¬ £¬£¬£¬PÖµµÄ×éºÏΪÉÏÊöÈýµãÖ®ºÍ£¬£¬£¬£¬£¬ £¬£¬£¬¼´P=0ª±0166+0ª±1423+0ª±1079=0ª±2668 ¡£¡£¡£¡£¡£¡£°´α=0ª±05Ë®×¼£¬£¬£¬£¬£¬ £¬£¬£¬P£¾0ª±05 ¡£¡£¡£¡£¡£¡£²»¿ÉÒÔΪÁ½ÖÖÁÆ·¨µÄÖÎÓúÂÊÓÐͳ¼ÆÑ§²î±ð ¡£¡£¡£¡£¡£¡£
3ª±²éËĸñ±íÏÔÖøÐÔÄ¥Á·ÓÃ±í£¨CÖµ±í£©·¨£º´ËÒªÁìÇáÓ¯Ò×ÐУ¬£¬£¬£¬£¬ £¬£¬£¬±¾ÎIJ»ÔÙÐðÊö£¬£¬£¬£¬£¬ £¬£¬£¬¿É²ÎÕÕÓйØ×ÊÁÏÅÌÎÊ ¡£¡£¡£¡£¡£¡£

¡¾ÍøÕ¾µØÍ¼¡¿¡¾sitemap¡¿